Is this real or did the journal: Energy, get punked? For those of you who are unfamiliar, see the Sokal affair. HT/Mike B
Electric Truck Hydropower, a flexible solution to hydropower in mountainous regions
https://doi.org/10.1016/j.energy.2022.123495
Under a Creative Commons license
Highlights
- Innovative hydropower generation alternative.
- Levelized cost of the electricity truck hydropower is 30–100 USD/MWh.
- The electricity generation world potential for the technology is estimated to be 1.2 PWh per year.
- Asia and South America have the highest potential for ETH.
1. Introduction
Hydropower has seen continuous innovation for more than a century. For instance, Francis turbines are undergoing several innovations in their control and operation (X-blade, self-aeration, draft tube injection) [1]. Kaplan turbines have seen evolutions in more fish friendly turbines [2]. A lot of novel low head hydropower converters have been introduced. Also new approaches for the modernization of existing plants, such as dam heightening [3], new electrical equipment, digitalization [4] and floating PV [5].
Currently, hydropower is limited to systems with two set water levels connected via canals, tunnels, and penstocks, and a turbine generation system converts the potential energy of the water into electricity (Fig. 1). In order to guarantee a large installed capacity and capacity factors higher than 30–40%, the catchment area must be high. This significantly reduces the potential of the technology in steep mountainous regions [6]. Additionally, storage reservoirs might also be required to regulate the flow of the river [7] to increase the capacity factor and economic viability of the plant. Furthermore, projected climate change scenarios indicate significant variation in hydropower potential with different regions alternately experiencing decrease and increase in potential [[8], [9], [10], [11], [12]]. This further adds to financial uncertainty of projects. Despite the above mentioned complexity of hydropower development its role in the power system remains crucial [13] and is an established facilitator for the multipurpose uses of water, such as flood and drought mitigation, water storage, fishery, leisure, and for variable renewable energy sources’ integration to the grid, as shown for example in the case study of West Africa [14]. Furthermore, in multiple studies the hydropower with reservoir became a foundation for solar-hydro [15,16], wind-hydro [6,17] and wind-solar-hydro [18] complementary operation.

Download : Download full-size image
Fig. 1. Conventional hydropower in steep mountains. Kaprun hydropower and pumped storage plant in Austria. The plant consists of high dams and tunnels to increase the catchment area of the plant and to connect to the Salzach River and the lower reservoir Zeller See.
In steep mountainous regions, the potential energy from a small water stream is high due to the large generation heads available. However, the catchment area for these streams is small, which results in a highly variable river flow [19], additionally highly susceptible to climate change [20] implying that a conventional hydropower plant would have low capacity factor and generation capacities, which would not guarantee a return for the investment. In such cases, this paper proposes the use of Electric Truck Hydropower as an alternative to conventional hydropower.
2. Electric truck hydropower (ETH)
We propose a more flexible alternative for hydropower that features electric trucks. The proposed system consists of using existing road infrastructure that crosses mountain ranges to transport water down the mountain in electricity truck containers, transform the potential energy of the water into electricity with the regenerative braking of the truck and use this electricity to charge the battery of the truck. The ideal configuration of the ETH system is in mountainous regions with steep roads, where the same electrical trucks can be used to generate hydropower from different sites. This increases the chances that there will be water available to generate hydropower and thus increases the capacity factor of the system. Another benefit of the system is that only a small barrier is required to abstract water from the river, there is no requirement for reservoirs to regulate the flow of the river. The reservoirs of this system are containers parked close to a river stream on the mountain, which are filled up with water extracted from the river. After the container is filled up, it is ready to be transported down the mountain and to generate hydropower. When the truck reaches the base of the mountain range, the container is parked close to the river, and the water in the container is slowly returned to the river to minimise the impact on the aquatic life. A similar case to ETH happens in the mining industry in Poland, where the extracted minerals are transported down a mountain with electric trucks, and each truck can generate up to 200 kWh per day [31].
The proposed system is divided into four main components, which are: the electric truck, water containers, the charge site and the discharge site, as shown in Fig. 2a. 1) The electric trucks have two main objectives, one of which is to transport water from the charged sites on the mountain to the discharge site. The other is to generate electricity by controlling the descending speed of the truck full of water, charging the battery in the truck. 2) The containers are used to continuously store water from the river in batches on the top of the mountain. It also continuously empties the water back to the river at the discharge site. It is important that the water extraction and release be continuous to reduce the impact of the system on the river flow. 3) The charge sites are the locations where water is extracted from the river and introduced to the containers. They are located in the upper part of the mountain range, on tributary rivers, and/or intermediate locations, to increase the flexibility of the system. The electric truck enters the charge site with an empty container, leaves it to be filled with water, picks a container filled with water, and drives down the mountain. In cold regions, the charge sites on the top of the mountain might not be utilized, as the water in the river might freeze, and icy roads reduce the grip on the tires on the road and the efficiency of the system. 4) The discharge site is where water is removed from the truck and returned to the river. The electric truck enters the discharge site with a container full of water, leaves it to be emptied, collects an empty container, and drives up the mountain. The charged battery is replaced by a discharged battery. The battery is not fully discharged, as the truck requires energy to drive up the mountain with an empty container. The discharge site should have a robust connection to the national grid to allow the site to supply electricity to the grid [32]. During periods with low river flow, the battery packs will stop feeding electricity to the grid and will operate as a grid energy storage solution. Alternatively, the electric trucks can be used to transport goods.

Download : Download full-size image
Fig. 2. Electric truck hydropower system. (a) axial description of the system where the empty truck moves up the mountain to collect the containers filled with water, and the truck with the full container goes down the mountain generating electricity. (b) aerial view of the ETH system compared with an existing hydropower project, highlighting the flexibility of ETH systems.
3. Methodology
The methodological framework used to estimate the global potential for hydropower electric trucks in this paper is described in Fig. 3. Each step of the methodology is detailed in the subsections below and highlighted in italics to facilitate the comprehension of the methodology description.

Download : Download full-size image
Fig. 3. Methodology to calculate the ETH global potential.
Step 1: ETH energy efficiency estimation. The Electric truck description applied in this paper is presented in Table 1. The proposed electric truck in this case study is taken from Ref. [33]. The costs and potential for ETH, as estimated in this paper applies today’s electric truck costs. Note that these costs are expected to reduce significantly in the future. Given that the truck has the flexibility to move to mountains where it is raining or water is melting, the truck will operate at 70% capacity. Half of the time, the truck is moving up the mountain and the other half moving down the mountain, thus, the assumed generation capacity factor of an electric truck is 35%.
Table 1. Electric truck description [33].
| Item | Description |
|---|---|
| Manufacturer | Ningbo Berzon Hida Trading Co. |
| Reference | [33] |
| Truck and battery cost (USD) | 145,000 USD |
| NEDC Max. Range (km) | 500 |
| Range fully loaded and 40 km/h (km) | 200 |
| Battery warranty (km) | 80,000 |
| Dimensions (m) | L 6500 x W 2500 x H 3600 |
| Economic speed (km/h) | 30–50 |
| Total traction mass (kg) | 33,100 |
| Battery weight (kg) | 1000 |
| Curb weight (kg) | 9930 |
| Water capacity (kg) | 23,170 |
| Battery capacity (kWh) | 250 |
| Motor type | Permanent magnet synchronous motor |
| Drive motor rated power (KW) | 250 |
| Drive motor rates speed (r/min) | 1195 |
| Drive motor rated torque (N.M) | 2000 |
| Drive motor peak power (KW) | 350 |
| Drive motor peak speed (r/min) | 3400 |
| Drive motor peak torque (N.M) | 3500 |
| Rolling resistance coefficient | 0.01 |
| Drag coefficient | 0.36 |
| Truck frontal area (m2) | 9.13 |
| Front axle bearing (tons) | 6.5 |
| Rear axle bearing (tons) | 11.5 |
| Rear axle ratio | 4.1 |
| Interest rate (%) | 4.0 |
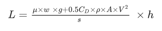
The theory behind the electricity truck hydropower concept can be derived from Eqs. (1), (2), (3). Eq. (1) shows the electric truck hydropower potential (ETH in J). Eq. (2) calculates the potential energy that can be extracted from the system (E in J), and Eq. (3) calculates the energy losses in the truck, which is mainly related to the rolling resistance losses of the tires and the aerodynamic friction drag losses in the truck (L in J).
ETH=E−L
E=m×h×g×b×M
where E is the potential energy of the system (in J), m is the mass of water added to the container in the upper water catchment location (in kg), h is the altitude difference between the charge site and the discharge site (in m), g is the acceleration of gravity and equal to 9,81 m/s2, and b is the battery’s energy storage efficiency cycle, assumed to be 90%. M is the efficiency of electric motor and transmission system, assumed to be 90% [34].

where, μ is the rolling resistance coefficient, between the tires and road, assumed to be 0.01 [35]. w is the mass of the truck with or without water, moving down and up a mountain respectively (in kg). The empty truck goes up the mountain with 9930 kg, but it goes down the mountain filled with water with 33,100 kg. In other words, the truck weight going up is 30% of the weight of the truck going down. CD is the drag coefficient, assumed to be 0.36 [36], ρ is the air density, assumed to be 1.275 kg/m3 A is the frontal area of the truck (in m2). V is the velocity of the truck (in m/s). s is the road slope gradient (in %); for example, a slope gradient of 15% means a 1 m vertical and 6.7 m horizontal distance. The slope gradient is high because the system is designed to operate on existing steep roads. Note that Equation (3) assumes that the mountain roads are smooth.
Step 2: ETH generation cost estimation. The main costs parameters are described in Table 1 (ETH component costs). The assumed capacity factor for the trucks is 35% (assuming that half of the time the trucks are moving up the mountains, the capacity factor of the trucks is 70%). The Lifetime of the trucks is assumed to be limited to the mileage of the truck, which is 1.600.000 km. This results in a lifetime of 6.5 if it operates at a speed of 40 km/h. Given that the truck is expected to operate for 7 years, the lifetime of the battery is assumed to be the same as the truck. The global estimate for ETH generation costs is set for a range of velocities and road slope gradients. For each available road slope, the truck velocity that results in the minimum generation cost is selected.
Step 3: Data collection. The data applied in the methodology to estimate the global potential for ETH are global topographic, road network and hydrological (run-off). This data is detailed in Table 2. The topographic data used is the Shuttle Radar Topography Mission (SRTM) developed by NASA [37]. It has a 3 arc seconds (∼90 × 90 m) resolution. The average altitude is used to reduce the resolution to 5 arc minutes resolution (∼8 × 8km) to compare with the available road infrastructure data. This data is used to find the altitude difference between two connected locations and to estimate the road slope. The road infrastructure data used is the Global Roads Inventory Project (GRIP) developed by GLOBIO [38]. The unit of the data is the total road density in m/km2. This unit is transformed into a road index by applying a logarithm with a base of 10. The run-off data used is the ERA5 developed by ECMWF [39]. The data consists of land monthly average run-off data from 1981 to the present, the exact data entered in the website is (“Monthly average reanalysis”, “2020”, “January” to “December”, “Surface runoff”, “Whole available region” and “NetCDF”).
Table 2. Data input to the model.
| Data | Available resolution | Applied resolution | Reference |
|---|---|---|---|
| Topography (SRTM) | 3 arc seconds (∼90 × 90 m) | 5 arc minutes (∼8 × 8km) | [37] |
| Road infrastructure (GRIP) | 5 arc minutes (∼8 × 8km) | 5 arc minutes (∼8 × 8km) | [38] |
| Run-off data (ECMWF) | 6 arc minutes (∼10 × 10km) | 5 arc minutes (∼8 × 8km) | [39] |
Step 4: ETH global potential. There are three main limitations to the potential for ETH. The first and most important is the change in topography, which is described in Fig. 3 and is used to estimate the road slope. By combining the road slope with the existing road infrastructure, one can estimate the ETH global road potential. Then the water availability for ETH can restrict the road potential and the existing amount of water available for hydropower. The equation applied to estimate the ETH global potential is described in Eq. (5). The potential for ETH is estimated in a resolution of 5 arc minutes (∼8 × 8km). To better present the results the ETH potential in a 1-degree resolution is summed.

where P is the ETH generation potential for the point under analysis (PUA) in a 5 min resolution (in GWh), i is one combination between the PUA and a point surrounding it (PSI), n is the number of PSI surrounding PUA, which is equal to 8 (Fig. 3 b). G is the ETH generation potential of each road segment in GWh per year and is a function of S, R and H. S is the road slope applied, which is a function of the minimum theoretical road slope. This equation was created comparing the real road slope of existing roads in different countries with different observed minimum theoretical road slopes. ΔH is the minimum height difference between PUA and PSI. D is the horizontal distance between PUA and PSI. At the equator, the distance is equal to 8 km, and it decreases with the change in latitude away from the equator. The total distance travelled by the truck is equal to D divided by the slope. R is the road infrastructure connecting PUA and PSI. It consists of the logarithm in the tenth base of the data from GRIP in m/km2 and varies from ∼0 to 5. The impact of each element of the road infrastructure on the ETH potential is shown in Table 3. The traffic in the mountain roads and the O&M of the roads that are continuously used by heavy trucks are not included in the cost analysis. W is the annual average superficial run-off in the PSI, which limits the potential for ETH according to the water available to be used for hydropower, as shown in Table 3. The amount of water assumed to estimate the potential for hydropower is 10% of the surface flow in the rivers. This is a small amount that does not have a large impact on the aquatic life or the river but still allows the trucks to maintain a large generation capacity of the system. The time required to fill the container with water will depend on the river flowrate and the number of trucks moving up and down the mountain. Assuming a storage capacity of 23 m3 and a flowrate of 0.1 m3/s, it takes 4 min to fill up the container. The potential for ETH is only considered if the levelized cost of electricity (C), which are a function of the road slope applied, are lower than 200 USD/MWh.
Table 3. Road limits and assumptions used in the model.

4. Results
Applying the methodology described in the methods section and Fig. 3 and using data on topography [37], hydrological run-off [39], and road infrastructure [38] (Fig. 4a,b, c and Table 2), the results presented in Fig. 4 were found. The topographic data is used to estimate the minimum theoretical road slope. To consider road curves, the function in Fig. 4d is applied to find the road slope applied. A limit of 15% road slope was found in the analysis of the road aiming to cross steep mountains. This limit is applied due to high road maintenance costs, limits in the truck capacity to carry a load, and due to icy roads in high mountains or cold locations. As the minimum theoretical road slope in the topographical data with 5 min resolution does not surpass 20%, the maximum road slope gradient applied to estimate the global potential for ETH is 12%, as shown in Fig. 4f. The most important parameter that impacts both the efficiency and levelized cost of generation in ETH systems is the road slope gradient of the road (Fig. 4e,g). The efficiency of the ETH system varies from 68% with a road slope of 15% and a speed of 40 km/h, to 35% with a road slope of 5% and speed of 60 km/h (Fig. 4e). As shown in Fig. 4h, the minimum levelized cost of ETH is 30 USD/MWh and is focused on steep mountains. The estimated potential of ETH is presented in Fig. 4i. It shows that some locations in the Andes and the Himalayas have the potential to generate 15 TWh per year in a 1-degree resolution. Fig. 4j presents the potential for ETH divided into seven different continents in cost curves, assuming a generation cost lower than 100 USD/MWh. The continent with the highest potential is Asia with 617 TWh, South America with 466 TWh, Central America with 65 TWh, Europe with 56 TWh, Africa with 17 TWh, North America with 5 TWh, and Australia with 0.7 TWh. The global potential for ETH is estimated to be 1226 TWh.

Download : Download full-size image
Fig. 4. World potential for electric truck hydropower. (a) Topographic data (SRTM), 5 arc mins resolution. (b) Surface runoff data (ERA5), 6 arc mins resolution. (c) Road infrastructure (GRIP), 5 arc mins resolution. (d) Conversion of minimum ETH generation road slope into road slope applied. (e) ETH system efficiency at different road slope gradients and speeds. (f) Road slope gradient applied in a 1 arc degree resolution. (g) ETH levelized cost with road slope. (h) Minimum ETH generation costs of the region, 1 arc degree resolution. (i) Maximum ETH potential of the region, 1 arc degree resolution. (j) ETH cost vs potential curve of different continents.
Table 4 presents the ETH levelized cost of generation in USD/MWh. The truck speed that results in the lower ETH levelized cost varies with each road slope. The levelized cost applied in the paper are the ones highlighted in green. The occasions where the slope is high and electric trucks would not have the power or breaking capacity to drive at high speeds up and down a mountain are highlighted in red. Table 3 presents the road limits and assumptions used in the model. It assumes that the roads are also used for other purposes and the potential use of the road for ETH is limited to the velocity, number of trucks per hour and water availability.
Table 4. ETH levelized cost of generation in USD/MWh.

5. Discussion
This system considers that the weight of the empty truck is 30% of the truck filled with water, with its equivalent to the specification of the truck used as the basis for this study [33]. Accordingly, reducing the curb weight of the truck could significantly increase the efficiency of the system and lower the generation costs. Alternatives to reduce the weight of the truck include using aluminium or carbon fibre instead of steel. With trucks being operated autonomously in the future, they could be built without the front section, which could further reduce the curb weight of the truck and the efficiency of ETH systems. The energy storage capacity of the battery should be similar to the amount of energy generated with the ETH system, with the intent of minimising the weight of the truck’s battery pack. Another optimized option to further reduce the weight of the truck is to use composite structural batteries (e.g., using modified carbon fibres) which increase the recharge mileage and have potential to substantially to reduce the weight of electric-powered systems [50,51]. This study assumes that the electric truck is autonomous, which significantly reduces the fixed costs of the system.
With the intent of increasing the applicability and viability of the electricity truck hydropower, the trucks could be built with a water tank that varies in volume according to the truckload (Fig. 5 a b). For example, if the truck volume is only half loaded, the other half of the truck cargo volume could be filled with water on the top of a mountain to charge the battery of the truck on the way down. When the truck reaches the bottom of the mountain, it will then empty the water in a discharge station and continue driving with the cargo, but without water. Apart from generating hydropower, the water input to the truck could be cooled or heated up before being added to the truck to provide cooling or heating services to the load. Being thereby a multipurpose facility as it can be for example realized for seawater used both for fresh water provision (through desalination) and cooling [49]. In the case of cooling services, the truck could also be filled with ice slurry, which would contribute to a higher cooling capacity due to the phase change of water. Note that the introduction of ice slurry is not appropriate for locations with temperatures below 0 °C, because the ice slurry would freeze, which would make it difficult to unload the water when the tank reaches the bottom of the mountain. Another option is to connect another wagon to the truck filled with water (Fig. 5 c).

Download : Download full-size image
Fig. 5. Hybrid cargo, hydropower truck. (a) fully loaded with cargo and empty water tank. (b) cargo and water tank partly loaded. (c) empty cargo and fully loaded tank.
Recently developed electric vehicles can store four to six cases with rear seats unfolded, and 14 to 16 cases with rear seats folded [48], as shown in Fig. 6 a,b. The dimensions of the cases are 55 cm × 35 cm x 22 cm and weigh 42 kg each when full of water. Table 5 presents the amount of energy that can be regenerated with an electricity car full of water. It assumes that 60% of the energy that would be wasted to control the speed of the electric car going down a 2000 m mountain and is turned into electricity to charge the battery of the car. Assuming the car has a battery charge of 50 kWh, the car without water will charge around 10% of its battery. If the car has an additional 677 kg of water, it will charge 15% of its battery. This charge difference is not substantial, mainly because cars have a limited volume to store water.

Download : Download full-size image
Fig. 6. Number of cases that fit in an electric car. (a) with rear seats unfolded, (b) with rear seats folded [48].
Table 5. Electric vehicle with and without suitcases.
| Car arrangement | Car weight (kg) | Car charge (%) |
|---|---|---|
| Without water | 1611 | 10.53594 |
| With 6 suitcases with water | 1865 | 12.19775 |
| With 16 suitcases with water | 2289 | 14.96744 |
Apart from providing hydropower, the system can also provide cooling and water delivery services to customers below the mountain. Table 6 presents the difference in energy potential for electric truck hydropower and cooling potential at different generation heights. The hybrid hydropower and cooling electric truck arrangement can be designed to store cooling energy from the top of a mountain on weekly, monthly, or seasonal scales. The seasonal scale is the one with the highest potential, which stores cold temperatures during the winter and uses it during the summer. An interesting case study for this is to freeze water in containers in the mountains surrounding the city of Phoenix, Arizona, and during the summer use the ice for cooling in the city.
Table 6. Hybrid hydropower and cooling electricity truck potential compared to the cooling services.
| ETH generation head (m) | Hydropower (Wh/kg) | Cooling with hydropowera (Wh/kg) | Cooling with ice (Wh/kg) | Share of cooling energy compared with hydropower (%) |
|---|---|---|---|---|
| 6000 | 13.08 | 52.3 | 92.8 | 56.4 |
| 5000 | 10.9 | 43.6 | 92.8 | 47.0 |
| 4000 | 8.72 | 34.9 | 92.8 | 37.6 |
| 3000 | 6.54 | 26.2 | 92.8 | 28.2 |
| 2000 | 4.36 | 17.4 | 92.8 | 18.8 |
| 1000 | 2.18 | 8.7 | 92.8 | 9.4 |
aAssuming a refrigeration system with a COP of 4.
Table 7 presents a comparison of different aspects between electric truck hydropower generation and conventional hydropower.
Table 7. Comparison between electric truck hydropower generation and conventional hydropower.
| Characteristic | Conventional hydropower | Electric truck hydropower |
|---|---|---|
| Location flexibility | Low: The plant will always operate in the same location. | High: The trucks can move to different mountains according to water availability. |
| Head flexibility | Low: The altitude at which the water enters and leaves the system is fixed | High: The head where the water is caught varies in different seasons or with weather events. |
| Capacity factor | 50%: The plant is designed to have a certain capacity factor, but there are limited mountains that can guarantee a high-capacity factor. Water wheels, Archimedes screw and small Pelton turbines are examples of flexible turbines that can handle variable flows. | 35%: Given the need to move up and down, the truck is not available at all times in generation mode. |
| Generation Efficiency | 90%: The efficiency of conventional hydropower plants is very high. | 30–60%: The efficiency of electric truck hydropower varies with the driving speed and the road slops, and is shown in Fig. 4e. |
| Storage reservoirs | Required to regulate the river flow and increase the capacity factor of the system. Typically, in high mountains there are waterfalls, so fish migration problem does not exist naturally, and small barriers are generally built-in the proximity of these falls, and also serve as hydraulic structures to stabilize the river bed, | Not required as the trucks can move to where it is raining, or ice is melting. ETH can only replace very small hydropower plants. Hydropower plants in high mountains are generally installed to satisfy peak demand energy request. |
| Seasonal storage | Hydropower and pumped hydropower storage reservoirs can provide seasonal energy and water storage [[40], [41], [42], [43], [44]]. | Electricity truck hydropower does not provide seasonal storage, due to its limited storage capacity. Other technologies could complement its lack of seasonal storage [[45], [46], [47]]. |
| Applicability | Large rivers with high catchment areas | Small rivers with small catchment areas. |
| Modularity | Not modular. Each project is different from the other. The larger the volume of water, the lower the costs. | Modular. The generation capacity depends on the number of electric trunks in the system. This is particularly interesting in isolated areas where the demand for electricity is small. |
| Multipurpose | Yes. Conventional hydropower also provides water storage, flood and drought mitigation, fishery and leisure | Yes. Apart from generating energy, the trucks can supply water and cooling services. |
| Lifetime | 40–100 years | 3–10 years |
| CAPEX | High (1000–5000 USD/kW) | Low (200–500 USD/kW) |
| OPEX | Low (5% of investment costs per year) | Medium (15% of investment costs per year) |
| Levelized cost | 50-200 USD/MWh | 30-100 USD/MWh |
6. Conclusions
It is difficult to harness the hydropower potential of a mountain with conventional technologies because of their rigid structure, high investment costs (particularly for small capacity projects), operational and head inflexibility, and the need for storage reservoirs and non-modularity (Table 7). Even though conventional hydropower systems have long lifetimes (40–100 years) and ETH projects have short ones (3–10), the CAPEX and levelized costs of conventional hydropower projects (1000–5000 USD/kW and 50–200 USD/MWh) are higher than for ETH projects (200–500 USD/kW and 30–100 USD/MWh). Given that the ETH system is already a competitive electricity generation alternative with existing technology, its cost is expected to further reduce [52] with expected technological improvements in the near future. Results show that the lower the truck speed, the fewer are the energy losses, but the least electricity is generated per year. The greater the speed, the greater are the losses, but the generation is greater per year. As the ETH system should achieve a short payback time, the speed of the truck should be as high as possible to maximise the returns in the investment.
Mountain regions are characterised by high precipitation, as the high mountain relief results in strong upward air flows, cooling the air and condensing moisture from it as rain or snow. Given the rocky soil characteristics of mountain areas, little of this water is absorbed. Thus, where the precipitation falls in liquid form, there is high surface run-off directly to river. River flows will be especially high in springtime when melting of precipitation stored in frozen form over winter occurs. To the best of our knowledge, this is the first occasion that a flexible low-carbon hydropower-generation system of low technology complexity integrating electrical trucks is examined. It is possible to derive from our study future opportunities to integrate the proposed system with PV and wind energy systems [53], contributing with the decarbonisation of power generation.
Data availability
The spreadsheet with efficiency and economic calculations and the global potential for ETH model applied in the paper can be downloaded from https://github.com/JulianHunt4/Electric-Truck-Hydropower.
Credit author statement
Julian David Hunt, Jakub Jurasz, Behnam Zaker, Andreas Nascimento, Samuel Cross, Carla Schwengber ten Caten, Diego Augusto de Jesus Pacheco, Pharima Pongpairo, Walter Leal Filho, Fernanda Munari Caputo Tomé, Rodrigo Senne, Bas van Ruijven
Author contributions
Conceptualization, J.H., J.J.; methodology, B.Z., A.N; formal analysis, S.C.; investigation, C.C.; data curation, D.P.; writing—original draft preparation, J.H.; writing—review and editing, B.Z.; visualization, P.P.; project administration, W.F., B.R.; funding acquisition, A.N.; resources, F.T.; software, R.S. All authors have read and agreed to the published version of the manuscript.
Declaration of competing interest
The authors declare that they have no known competing financial interests or personal relationships that could have appeared to influence the work reported in this paper.
Acknowledgement
This research was funded by National Agency of Petroleum, Natural Gas and Biofuels (ANP), the Financier of Studies and Projects (FINEP) and the Ministry of Science, Technology and Innovation (MCTI) through the ANP Human Resources Program for the Oil and Gas Sector Gas – PRH-ANP/MCTI, in particular PRH-ANP 53.1 UFES, for all the financial support received through the grant.
References
For references see original article source.
I like it! Much simpler than ethanol. Lower capital investment and fewer moving parts. And you don’t even need to spray poisons from airplanes to make it work!
One problem though: There aren’t enough senators from mountain states to force the rest of us to pay for it.
Surely the trucks could be replaced by water tanks on a ski lift system, with the full ones coming down powering the empties going up plus electricity from a generator turned by the cable?
What essential part of the truck concept am I missing? Geoff S
Driving a fully loaded truck down a 10 to 15% grade at 40 to 60kmphr on a winding mountain road (usually on the narrower end of the spectrum), what could go wrong?
Had some milk come out the nose when I read this part.
“Note that the introduction of ice slurry is not appropriate for locations with temperatures below 0 °C, because the ice slurry would freeze, which would make it difficult to unload the water when the tank reaches the bottom of the mountain.”
It will be self un-loading when the truck slides off the road and reaches the bottom of the mountain rather more quickly than anticipated.
And I bet a large amount of money that they have completely ignored the TKPH restrictions on the front tyres. This absolutely kills the productivity of mining trucks hauling down-hill (usually 8 to 10% down grades). Would be exactly the same in this scenario.
In physics there is no such thing as a free lunch…
This research was funded by National Agency of Petroleum, Natural Gas and Biofuels (ANP), the Financier of Studies and Projects (FINEP) and the Ministry of Science, Technology and Innovation (MCTI) through the ANP Human Resources Program for the Oil and Gas Sector Gas – PRH-ANP/MCTI, in particular PRH-ANP 53.1 UFES, for all the financial support received through the grant.
REALLY?????
Article reads like a kludged computer generated fantasy by armchair theorists.
That same truck must drive back up the mountain. Regenerative braking ain’t going to help.
If you’ve ever drive a real truck, you quickly learn to load the heavy cargo to the front, right behind the driver. Their image with a big rig dragging a container of water is a prime way to cause jackknifed or overturned tractor trailers.
On mountain roads, that usually means the truck takes the quick path down, skipping the road and killing the driver.
The yahoos behind this research should build a scale model to prove their concept. No attempt should should be made to use life size trucks and roads.
Same Principal in use here
https://www.popularmechanics.com/science/energy/a39372219/self-charging-infinity-train/
Paul,
The news report is lacking full disclosure.
There is no way this train can start with flat batteries and power itself over a round trip.
It might be possible (depending on specifics like grade and friction) to be self-contained starting with fully-charged batteries, but that electricity to fully charge cannot come from the train itself.
So it still will need backup electricity like diesel generators or wind farms.
Which is not admitted in the press release. Geoff S
Half of all papers published today closely resemble the Sokal Hoax. But that is accidental. A deliberate publication was the Grievance studies hoax, AKA Sokal-squared, perpetrated by the brilliant James Lindsay, Helen Pluckrose, and Peter Boghossian.
My calender still shows 10th of March!
You may be missing the point. The objective of alternate energy and sustainability and global warming is not energy creation or CO2 reduction. The objective is to destroy the economy of the United States and reduce its people to submissive peons with no vehicles and very little food. This scheme, like all “green” brain farts, would move us closer to that goal before even a single KWH has been generated. We are in the hands of the Wreckers.