By Christopher Monckton of Brenchley
Of government ministers it may be said that they seldom know how many beans make five. Frankly, numeracy is seldom their forte. Therefore, HM Government, for instance, has pietistically proclaimed time and time again at its daily press conferences that it will act solely on the basis of what the scientists say.
This species of abject abdication to the priests of the machine has long been evident in governments’ approach to the climate question. They have been readily fooled by totalitarian academics pushing an agenda that is both ideologically attractive and financially profitable to the academics.
Now that governments are habituated to the notion that man with beard wearing white coat with leaky Biros sticking out of front pocket him always right, yes indeed, goodness gracious me, they are easily led by the nose. So far, climate skeptics have generally failed to convince governments that they should not be so credulous, nor so completely in thrall to currently-fashionable academic political opinion masquerading as “scientific consensus”.
In Sweden, this childlike faith in scientists has been taken to the extreme. By law, ministers are denied any say in how to handle pandemics. The key decisions have been wholly delegated to the public health agency, which has decided that, though some precautions are to be taken, there will be no lockdown.
For those of us who would like the lockdowns to end in those countries where it is clear from our daily graphs that they are no longer needed, it would be welcome news if the Swedish experiment were to succeed. The next few weeks will make or break the no-lockdown policy, for Sweden’s first cases of infection were later than in most of the worst-affected European countries.
One consequence of innumerate governments’ abdication to radicalized scientists is that when the scientists cannot agree among themselves governments do not take decisions in time. In Britain, Ministers dithered for a fatal month after the first cases arrived. In the end, the Prime Minister took a command decision to lock the country down, based on a model from Imperial College, which predicted that in the absence of a lockdown some 500,000 of Her Majesty’s subjects might have been killed.
Already, more than 26,000 have been killed, for the Government is at last including the virus-related deaths outside as well as inside hospitals in its daily counts. On current trends, Britain will soon have the highest death toll in Europe.
How, then, to address the recurring problem of innumeracy among the classe politique? This question will become important as governments decide what to do about lockdowns.
The State of Georgia has taken the bull by the horns and has ended the lockdown altogether. For the United States, that decision – which went too far even for Mr Trump – will provide a useful point of comparison, just as Sweden does for Scandinavia (compared with which it is doing badly) and for Europe more widely (compared with which it is doing well).
Mean population density per square mile in Georgia is only 150 people, but the state has some 70 cities or towns with populations higher than the 1800 per square mile in Stockholm.
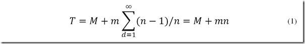
Most governments will keep control measures in place until the daily growth-rate in active cases has fallen below zero. But then what? Here is a simple piece Ministerial math: a neat device that allows Ministers to make a rough but not altogether valueless back-of-the-envelope estimate of how many deaths the Chinese virus will have caused in total by the end of the pandemic.
This useful trick arises from the fact that, where the cumulative mortality to day d – 1 is M, and if the mortality m on day d is declining by 1 / n, and if that rate of decline continues ad infinitum, total eventual deaths T to the end of the pandemic will simply be the sum of the cumulative mortality M to day d – 1 and the product of m and n. Formally,

Thus, if in the United States there were 2400 deaths on day d, and if each day thereafter the death toll were to decline by one-tenth, and if that rate of decline were to continue, there would be 24,000 deaths from day d to the end of the pandemic, in addition to the previous deaths M = 60,000 that had occurred before day d, for a total of 84,000 deaths.
Of course, one hopes that any rate of decline in deaths (it is not yet established in the U.S.) will itself decline. Therefore, it is helpful to give Ministers a ready-reckoner table showing how many deaths will occur from day d to the end of the pandemic for various values of n:
| Daily decline by | 1/100 | 1/50 | 1/40 | 1/30 | 1/20 | 1/15 | 1/12 | 1/10 |
| Rate of decline r | 0.99 | 0.98 | 0.975 | 0.967 | 0.95 | 0.933 | 0.917 | 0.9 |
| Multiplier n | 100 | 50 | 40 | 30 | 20 | 15 | 12 | 10 |
| Daily decline by | 1/9 | 1/8 | 1/7 | 1/6 | 1/5 | 1/4 | 1/3 | 1/2 |
| Rate of decline r | 0.889 | 0.875 | 0.857 | 0.833 | 0.8 | 0.75 | 0.667 | 0.5 |
| Multiplier n | 9 | 8 | 7 | 6 | 5 | 4 | 3 | 2 |
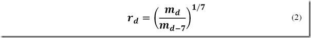
Then Ministers can apply the test to the daily death toll, averaged over 7 days using (2). Some statisticians prefer three-day averaging. Either way, Ministers can ask the statisticians what the mean rate of decline rd is, together with the day’s mortality rd, and can then look up the appropriate multiplier n, multiply the day’s death toll by it, add the cumulative mortality M up to the previous day, and Bob’s your uncle.

Take Italy. The most recent daily death toll was 323. Seven days previously it was 437. Therefore, the rate of decline was (323/437)1/7, or 0.96. If that rate were to continue, there would be somewhere between 20 and 30 times 323 deaths. Call it 24 times. Therefore, there would be 24 x 323, or 7750 deaths, still to come, plus the 27,350 deaths that have already occurred, bringing the final total to about 35,000. That figure will be a maximum if the rate of decline falls below 0.96, as it almost certainly will.
None of this works unless the daily rate of change in deaths is a decline. In the United States, that is not yet the case, but one hopes it soon will be, since the daily rate of change in active cases has reached zero for the first time.

Fig. 1. Mean compound daily growth rates in estimated active cases of COVID-19 for the world excluding China (red) and for several individual nations averaged over the successive seven-day periods ending on all dates from April 1 to April 29, 2020.

Fig. 2. Mean compound daily growth rates in cumulative COVID-19 deaths for the world excluding China (red) and for several individual nations averaged over the successive seven-day periods ending on all dates from April 8 to April 26, 2020.
Ø High-definition Figures 1 and 2 are here.
Christopher…….a similar result is obtained by “eyeballing” the daily deaths curve and picking the approximate peak (which doesn’t necessarily conform with the highest daily number). From that chosen date, you can then pretty much double the death count to arrive at an estimate of the final death toll.
Willis has been using a similar approach and made some projections in a previous post.
Both your method and the “eyeball” method provide estimates assuming reality follows a logistics curve, albeit perhaps a skewed one.
Who is doing better, Germany or Sweden?
Well, Sweden is not doing as well as it is often assumed, it has three times more fatalities per head of population than Germany.
Here are all EU countries + UK compared
http://www.vukcevic.co.uk/EuropeCV.htm
data from European Centre for Disease Prevention and Control
Germany is on par with Canada, and by a country mile the lowest in continental Europe – not a useful comparison.
Not only that, the Viral Piper will get paid and it is by no means clear that Sweden has failed in its approach- we’ll do the final tally when the second wave rolls through, and that applies to the economic impact per capita as well.
I think the models are wrong for Sweden. The Swedes are not a model for herd immunity.
What sweden shows is the effect of keeping the economy open while the population self isolates and quarantines.
Maybe it is early days, but to me it looks like the models may be wrong on Sweden.
The population in Sweden is not self isolating/quarantining. Have look at the various pics of people on terraces, etc.
The Swedes are bargaining on paying the Piper up front, to be somewhat better prepared when the second wave comes – while keeping at least part of their economy on the tracks.
Time will tell and models are worse than useless.
Have look at the various pics of people on terraces, etc.
======
There is no need for a healthy person under 50 in reasonable shape to self isolate.
The death rate for someone under 50 is effectively zero unless you have metabolic disorder. And all you need to diagnose that is to stand n
in front of a mirror. If a fat person looks back self isolate until you are thin.
Just want to point out that the demographics of the fatal cases are far from the whole story.
Many being sickened with viral pneumonia are not old and do not have comorbidities.
These people are mostly surviving if they are younger, and started out healthy.
But it is not correct, IMO, to say that there is no reason to worry about getting COVID if you are not at high risk of death.
According to the stats on Worldmeter, some 13.8% of cases are severe, and 4.7% are critical.
This is far higher than the overall 2% CFR for reported cases. (There are many unreported cases and the actual percentages may differ from this substantially, but the proportion of severe and critical illness to death is not changed by more people getting infected but not sick.
Yes, most of the risk of hospitalizations is among the elderly and those with comorbidities as well, but over for people under 50 there is about a 3% chance of winding up in a hospital with severe viral pneumonia. About one in 30-35 cases.
And for those 50-65, it appears about one in 13 or 14 cases will result in hospitalization.
Many of those who live are spending as much as 4 weeks in bad shape in a hospital.
And no matter how you slice it, if more young people are getting the virus, more older people will get it from them, so even those not at risk are endangering those that are.
Obviously there is a lot of room for debate and disagreement regarding what this all means and how people should react and behave themselves, i.e. wear PPE and try not to be part of the problem, but I for one do not really understand how so many seem to be insisting only those at risk of dying need to be concerned about this.
Reference:
https://www.cdc.gov/mmwr/volumes/69/wr/mm6915e3.htm
The country to compare Sweden to is Czechia, where they wear home made masks.
On the 29th of March Sweden was in position 19 on Worldometers and Czecia 20th.
Look at where they are now.
Sweden’s increase in cases since the 29th is twice that of Czechia.
What does doing better mean?
If lockdown has a cost
If value of life saved has a cost
The country that has the lower cost per life saved is arguably the one doing better.
Sweden probably wins
Why are the total cases per million just about the same between Germany and Sweden??
Because Germany is testing nearly three times as much per 100,000 citizens.
Sweden 119,500 tested, 21,520 positive, rate of 18%
Germany 2,547,052 tested, 163,331 positive, rate of 6.4%
These numbers make me infer that Sweden has a taller, narrower infection curve than does Germany. If herd immunity does occur and is needed to end the epidemic in each of these countries, then I expect the same total percent deaths (same area under the curve) with Sweden being done with COVID in a much shorter time than Germany.
Yes, all those deaths in Sweden and Germany (and worldwide) are horrendous, but that’s not what most observers are talking about. The discussion seems to be limited to the speed with which it all takes place.
I do not want to make a big deal of it or anything, but those projections have not held up to the test of time.
One projection at the time was for Italy.
The projection was for 20,000 deaths total.
But the total is currently at 27,967.
Another was for Spain.
Projection at that time based on that method noted was for a total of 18,800.
Total according to Worldmeter as of now is 24,543.
New deaths on many recent days have been near 400 or more.
The projection based on the rule of thumb has also been exceeded in California.
New cases in all of these places seems to be a fairly hefty number per day still, so it seems more deaths are coming.
As it is, only a fraction of the populations of any particular place seems to have been infected yet, so unless some treatment comes into universal usage very soon and which is able to prevent most deaths, it seems the daily new deaths and cases will not be dwindling away to nothing anytime soon.
I do not think anyone can be blamed for using some accepted rules to try to get a handle on what is to come, but it seems maybe we need some new rules of thumb. This is, after all, not something we have seen before.
It needs to be noted that many people dispute the numbers being reported, although there are reasons to think the count is too high and other reasons to think it could perhaps be too low, for example due to, at least in some places, only counting deaths in hospitals.
And clearly there are no hard and fast standards for how numbers are being counted from place to place.
I am not in favor of governments imposing lockdowns of healthy people.
But I do know that where I live, if all restrictions were lifted right now, I would not be doing anything different, and I think a lot of people feel the same way.
I personally think that is the best explanation for why places with different sorts of restrictions in place have not seen the course of the pandemic seeming to be controlled by those restrictions.
Sports leagues and businesses and concerts and amusement parks…all of these were closing/telling people to work from home long before any governments stepped in with restrictions, outside of the first few countries that is.
I think it has more to do with the net effect of millions of personal decisions about how to respond.
What governments could have done far better, IMO, was give good information about PPE and such, and taken extraordinary measures to manufacture supplies of these things…like masks in particular.
By the time people are getting back to a normal routine, I would bet that masks will be part of that being successful.
Anyone not wearing one when around other people, is putting others in danger, as things now appear to stand.
They should be treated as one would treat a speeding motorist in a banged up car: Dangerous to be near.
The places that have kept the numbers low, generally have one thing in common…masks.
This is all just my opinion, and I could be wrong about any of those numbers…I got them just by a quick look at the sources mentioned, and I could easily have missed something important.
The only point I am making about the numbers is…there seems to be ample reason to be somewhat leery of projections for how things will progress in the future.
I called it – to the day! Alberta will re-open starting 1May2020, as I posted here last weekend.
But did they listen to me about “don’t over-regulate it”? Nooo!
It’s hard to get good help these days. 🙂
https://wattsupwiththat.com/2020/04/25/uk-german-governments-plan-to-turn-covid-19-into-a-climate-action-opportunity/#comment-2978094
I say “RE-OPEN BY MAY DAY – 1MAY2020” – and don’t over-regulate it – let individuals and businesses manage themselves and their risks – people are typically far more intelligent than governments.
_________________________
AS ALBERTA REVEALS REOPENING PLAN, PARKS AND GOLF COURSES THE FIRST TO SPRING TO LIFE
The relaunch plan comes with restrictions — one will require people to wear masks on mass transit
https://nationalpost.com/news/reopened-golf-courses-campsites-part-of-alberta-relaunch-plan
EDMONTON — Alberta will begin to reopen Friday, and for the first time in weeks, people will be allowed access into provincial parks. As of Monday, golf courses will swing open in Wild Rose country.
The province announced Thursday afternoon three stages of progressive changes to the COVID-19 restrictions that have limited Albertans’ activities and movements since the pandemic began.
Other restrictions changes, the government noted, will be “lifted in stages when safe.” These early measures aren’t even, technically speaking, part of “Stage One.”
That could come as early as two weeks from now.
“We can finally begin to shift our focus from the pain and anxiety of the past few weeks,” said Kenney. “We’re still months from what will feel like the normal lives we all took for granted a few weeks back.”
Alberta is the latest province to announce its intentions to slowly re-open the economy in coming weeks and months, following Ontario, Quebec, Manitoba, Prince Edward Island, New Brunswick and Saskatchewan, which have all adopted various phase-in approaches.
British Columbia, Nova Scotia, Newfoundland and Labrador and the territories have not yet announced plans for re-opening.
In response to Mr Rae, it is not quite as easy as that. If there are no obstacles to the transmission of the pathogen through the community (such as those caused by lockdowns), and if the reproduction rate is uniform, and if all sections of the community are equally vulnerable, and if one is sure that the peak has been reached, multiplying by something between 2 and e will get you into the right ballpark.
However, none of those conditions is met by the Chinese virus, so it is best to look at the rate of decline in daily deaths and use the SUM[(n-1) / n]^d = n trick. For the decline in the death rate is going to be more than somewhat fat-tailed, unfortunately
In defense of Allen, I have followed all the local (Alberta) cases. 1 death Not from long care home out of 22. 88 deaths in province and 6 were under 60 age, and all had underlying issues. 5100 cases under 60 age, 46 hospitalized . Provincial health services has good detail published. Yes, Allen, you called it right in March IMHO.
Christopher,
What you should look at is the number that have NOT been infected. These are not the asymptomatic but infected, but the majority that appears to be uninfected and immune.
The serological tests are showing several times more people are infected than those testing positive and many (as in the Diamond Princess) are asymptomatic. But the total infected in Los Angeles county from serological testing appears to be of the order of 5% of the population. This was presented as far more infected than first thought. But it should be looked at as ONLY 5% were infected.
The London underground ran for around 10 weeks with the virus already extant in London with 5 million passengers a day in crowded carriages – many of those passengers were of course return journeys. The underground has carried on running with continual complaints to Mayor Khan about the over crowding. Yet the infected in London has still not reached more than 10% of the population even with the underground acting as almost a purpose built vector for corona virus infection – warm, limited air conditioning masses of people pressed together in crammed carriages.
While mathematics is useful it treats every person as identical; like so many ball bearings. But they are not.
First it has become apparent that European genotypes lead to less ACE2 receptors so the virus has a less ‘target rich environment’ in a majority non Afro/Asian population.
Secondly, the diet of the population also matters, unlike China, the UK diet tends to be sufficient in Zinc and Selenium both of which increase the immunity to the virus. Selenium appears to block corona viruses docking onto ACE2 receptors and Zinc in the cells stops corona viruses hijacking the RNA transcription mechanism so the corona viruses cannot replicate. Note that these are not mechanisms that corona viruses can mutate to get around. To the genotype and diet should be added Vitamin D levels higher vitamin D levels from diet or Sun exposure lead to better survivability.
So the population is not a uniform set of ball bearings some are different both in genotype and in diet.
This reality means that perhaps instead of the more simplistic statistical modeling being used a predator/prey approach should be taken. It seems that ‘only’ 10% of the UK and US populations are genetically susceptible and of those their diet matters. The majority ~90% may be genetically immune. The remaining ~10% of ‘prey’ can build ‘herd immunity’.
I would suspect that as with SARS-1 as the prey become more difficult to find the predator corona viruses may cease to spread and COVID-19 pandemic may just stop. There will be no ‘second wave’, as the prey have been consumed either dying or getting antibody immunity.
Bingo; in my opinion you nailed it Ian. The models and political reactions to them are predicated on populations being homogeneous; they are not. This is very likely the reason for the models seeming to so often fail, and for there being otherwise non-understandable differences between different areas and cultures.
Seeing as you probably haven’t had it, would you take the chance of going in to an ICU and be surrounded by COVID-19 cases without ant PPE?
Would anyone you know?
Statistically, I think the answer would have to be yes if there was reason to go; chances are, here in BC, that I would have a mortality chance of 100 in 12,000 (comparing normal deaths by this time in the year to the deaths from Covid-19, from the numbers delivered by our Chief Medical Officer) of dying from this virus–if the visit killed me. And those ~100 deaths are in a provincial population of 5.11 million.
I actually did go around to the 4 closest hospitals during what would have been the peak of the pandemic here because the presented numbers seemed to be so distant from the rhetoric of an over-worked health-care system, and checked all the emergency rooms–they were empty and quiet, supporting the numbers and not the rhetoric. That would have been 3 weeks ago.
Also, from an unexplained severe flu-like illness I had last November and dealt with at home, the possibility arises that I may have already have had it; untested, I don’t know. But it was a flu that I’d never had before, and sure went down the respiratory tract quickly compared to anything else I’d had.
Growing up on a farm, and after a field geology career drinking water from glacial streams to a few really disgusting swamps, I may fit into that category of immunity aptly described by George Carlin (and he died of heart problems, not infection).
(3 minutes of fun) https://www.youtube.com/watch?v=_gLLZ_D1Lqw
“Both your method and the “eyeball” method provide estimates assuming reality follows a logistics curve, albeit perhaps a skewed one.”
except reality doesnt follow a logistic curve in every case.
here is the clue.
Looking at global data will fool you.
Looking at national data will fool you
Looking at state data will fool you.
Your risk is local, your hospital is local, the density of people is local.
Local scale matters.
Mr Mosher is right. With any sufficiently infectious pathogen, such as the Chinese virus, no single reproduction rate will be of universal application. That is why it is necessary to look at the results for individual territories and cities, and to do so in real time rather than attempting extrapolation with a logistic curve, which is all but inapplicable where the pathogen is highly infectious and where lockdowns to prevent too rapid an acquisition of population-wide immunity have been put in place and largely complied with.
Imagine that there were only 49 states, and NY was not one of them. It’s rather disingenuous to compare USA virus growth and mortality to individual EU countries, or to S. Korea with the population of Florida, fully half in a single Seoul metro area. Apples to oranges to persimmons.
Absolutely, 1/2 of ChiCom-19 deaths in the US are in NY and New Jersey.
It was foolish of us to treat the entire country like we’re just like NYC. As you get away from the northeast US, there is much less public transportation. The population density is far less. With the cost of living in NYC the poverty rate is high. Poor health, poor nutrition, lack of exercise, diabetes and hypertension usually travel hand-in-hand with poverty.
Actually your risk is even more local – it depends primarily on your age and physical condition.
Except, of course, in climate change
Eh Steven?
there are similar variables in climate change.
Like rainfall.
Luckily for us temperature doe not have a high spatial frequency.
We TEST how large a region you can average over.
So with epidemics the data has an VERY HIGH spatial frequency
Whats that mean? That means a few dozen kilometers away from NYC the infection
rate is lower. Heck a couple blocks over the infection rate is different.
This spatial frequency is measurable.
With something like CHANGE IN MONTHLY TEMPERATURE the spatial frequency is lower
Why is this? Well 90+% of the monthly average temperature is determined by the latitude
and elevation.
Tell me the month, the latitude and the elevation and I can predict the Monthly Temp
with a small error.
Now take a pandemic.
Give me 2 variables that you can use to predict the infection rate to within… 50%
Yu can’t
41° North, January, sea level.
To get in the ballpark, you need to take into account marine influence, so…west or east margin of a continent, or island in the middle of ocean…
Crescent City, Naples, Barcelona, New Haven, Cheongjin, Viana do Costelo, Olbia, Istanbul, Batami, Matsu…
Just sayin’.
Mostly you are correct, but in some specific locations other factors have a large influence.
Relating this to the pandemic: New York has a large subway network, and almost everyone uses the subway and/or trains. These are typically packed during certain times of day.
So this exacerbated the effects of lots of travelers bringing the disease there, and high population density making transmission more likely.
Some other places have almost nobody using public transportation…like most of Florida, for example.
People are spread out. Stores are mostly large and roomy, and so are many offices and such.
Almost nothing in the way of rowhomes.
Few high rise apartment blocks in most of the state.
The places with public transit and a relatively high amount of people living in high rises (with everyone having to use the same few elevators, etc.) in Florida have much more disease. Miami metro area, notably.
Also in New York…lots of people using cabs and Uber.
@Nicholas McGinley
The office study from South Korea implies that elevators are not a main risk factor. At least not as much as spending hours together in the same room.
For New Yorkers the subway was probably one of the biggest risk factors as depending from where to where you have to travel you are easily 30+ min in the tube. Crowded as crazy.
Also all the New Jersey people coming in by crowded trains each day.
A significant part of that challenge is widely disparate applications of testing and assigning cause of death. Just like with CAGW, the numbers must be both accurate and consistently derived to have more meaningful results.
Steven, it is not a good time to bring up your challenge, I have responded to on many forums and you have ignored it.
There can be 10C difference at any Lattitude and the same elevation.
Surely the temp of Ny Wall Street would be very different to Central Park at the same moth and latitude
To both Steven & Christopher…..
I understand both your points re my simplistic analysis but, from the perspective of getting a “reasonable estimate” of likely deaths, I still think the approach is better than just guessing. It certainly provides estimates that are in the right ballpark. In the early days, (early March) I was using rough extrapolations of the logistic curve & estimating Italy at ~25000 deaths and Spain at a similar level. I adjusted those values recently due to the fat tail effect but the numbers are still realistic – say 30-34K dead in Italy depending on whether you call the peak on one date or another. Those estimates aren’t so far off…….and considering the original predictions were made about 7 weeks ago, I think that’s pretty useful.
Are there uncertainties aplenty? Heck, yeah……many things can change depending on how the pandemic evolves but as a first order guesstimate using actual (but admittedly patchy) government data on deaths, this number can be refined as the facts present.
I don’t see a problem with that and I think it’s better than just scaring the population with the “Corona virus equivalent“ of RCP 8.5, as seems to be the won’t of the MSM.
The weather is local.
Each country ( and within large countries)has a different death/temperature profile.
Example
https://www.thelancet.com/journals/lancet/article/PIIS0140-6736(14)62114-0/fulltext
Something happened to the math representation on screen. In equation (1) the [(n-1)/n] needs to be raised to the power d.
Mr Hartley is of course correct: I should have proofread the equation more carefully. The exponent dropped out when i was manipulating the equation to get a suitable screencap, since WorDepress can’t handle the Windows equation-writer. I’ll correct it in tomorrow’s piece.
I am afraid that optimistic results can be obtained with very little associated cost, simply by reporting deaths with a suitable (adjustable) delay. This is not a novel approach, it has probably been used by our Far East friends already.
Even more optimistic results can be gained by simply not reporting any cases…..it only gets difficult when the unburied/uncremated corpses start to smell…..
Actually Willis has also been recommending Gompertz curves, which I have been using to good effect, and with those, instead of multiplying the deaths before peak by 2, you multiply by e = 2.718281828.
Certainly the epidemic or S or sigmoid or logistic or Gompertz curve, which has been discussed both by my good friend Willis Eschenbach and also by me, is of particular value when studying an epidemic that will pass right through the population at a more or less uniform reproduction rate. That does not apply to the current pandemic, which is why studying the case-growth and death-growth rates is more likely to produce reliable answers.
Several initial attempts to apply the logistic curve to the current pandemic failed wretchedly to predict not only something like the rate of growth that has obtained but also the shape of the curve of this pandemic, where the deaths after the peak are not tailing off as the logistic curve would lead us to expect, because control measures (even in Sweden) have been sufficient to cause the peak to occur earlier than it would have done if the approach to herd immunity had curtailed the initial exponential growth and had brought about the peak.
CMoB
Using US national stats is not only meaningless, it is in fact dangerously misleading and all computations and conclusions derived from them will be wrong – GIGO.
From the outset and to this day, NY plus NJ account for approx. 50% of both cases and deaths.
The top 10 states account for some 85% of all cases and deaths, – reality is that there are entire swaths of the country where by no stretch of any scientific definition, there is actually an epidemic going on.
If the US as a whole had the deaths/million of say the UK or France, there would not be 63,000 but 125,000 dead American from SARS-CoV2.
Same goes for Sweden, which then would have not 2,400 but 3,900 deaths.
On the latter metric/comparison alone, there are solid grounds indeed, to question the validity of the argument that confinement, prima facia, works – quibbling egghead models be damned.
But how do we know that the reason the places where it hit first were the canary in the coal mine, and other places have avoided a similar fate because people did not wait for the disease to be widespread in their area before isolating themselves?
But this is not strictly related to forced lockdowns…it is the result of how individuals have reacted, lockdowns or no.
I personally initiated avoidance of crowds and public places before we had any direct confirmation that the disease was spreading in the US.
I assumed it was and that we would not know it in time to avoid it, if we went about business as usual.
The entire NBA was shut down when a single player tested positive, and it was done within hours of the finding.
MLB did not even wait for a single person to get infected before they followed suit.
Ditto lots of others.
*NOT the canary in the coal mine*
Mr McGinley makes an excellent point. The growth rates in cumulative cases were already falling in many countries before lockdowns were introduced – which can be argued either as evidence that perhaps lockdowns were not needed (see Sweden) or that if even the lesser control measures that preceded the lockdowns worked to some extent the lockdowns will also have helped to slow the rate of transmission so that emergency arrangements to prevent swamping the hospitals could be put in place.
What is undeniable is that, once one has failed to do as South Korea or Taiwan did – test, isolate, trace and repeat – then it is necessary to introduce firm control measures at the very earliest stage, for that greatly reduces the cost, economic impact and duration of the lockdown, and also reduces the difficulties attendant upon ending it. Here, the UK dithered for a month – and that dithering was both fatal and cripplingly expensive.
It’s very likely that the maximum infection spread (reproduction factor R maximum) had already passed (by about a week or two, some 10 days) in most of the countries when they applyed lockdown.
This is true for Italy, France, Spain, Germany and UK for example.
Therefore, in those countries, its very likely that the applied lockdowns have had no significant effect on the infection spread (at least, they very unlikely had any effect on the maximum spread of the infection).
Trying to verify this assumption, we can search for a comparison between a zone in which a strict lockdown was applied very soon (at the spread maximum) and another where the lockdown was applied after the infection wave has passed (it seems that this is the case in most of the countries).
This could give an indication on the lockdown effect on the spread peak and the death toll, if any.
I found two interesting cases to compare :
1) Germany (no lockdown until the reproduction factor R was under 1) and Vo’ Veneto, North Italy (strict lockdown applied when R was at its maximum around 3) :
The reproduction factor R reconstruction from the Robert Koch Institute in Germany :
https://notrickszone.com/2020/04/18/prominent-german-prof-says-covid-19-lockdown-completely-unnecessary-unbelievably-damaging-to-the-economy/
It shows that the R factor decreases sharply from its maximum to under 1 in some 10 days without any applied lockdown (in Germany the lockdown has been applied on March 23).
2) An analysis of Vo’ in Veneto, Italy, found that the R factor decreases in the same way (some 10 days from 3 to under 1) and this is observed with a strict lockdown applyed when R was at its maximum :
https://www.medrxiv.org/content/10.1101/2020.04.17.20053157v1.full.pdf
Indeed in the Vo’ study, they conclude that the decrease of R was due to the lockdown. But the German analysis seems to contradict this assumption since the two reconstructed R behave in the same way with or without lockdown. And this holds even if the lockdown is applied very soon.
Thus :
– the decrease of R in Vo’ while applying an early and strict lockdown seems more a coincidence than a causal relationship between the lockdown and the R decrease.
Perhaps the most important way to slow down the infection is merely to apply social distanciation and indeed, people seems to have widely applied those simple gestures before (or while) they actually had to face the infection wave in most countries, making any lockdown mostly useless.
Perhaps the natural behavior of this virus is to very soon stop its spread among the healthy whatever people do, therefore, the best (and only thing to do) is to protect the ederly and the vulnerable while letting healthy people living almost as usual.
If my assumption is true, this is actually a very good news :
– first of all, we do not need any lockdown,
– secondly, a second wave due to a “lockdown exit” is very unlikely.
– last but not least : governments can trust their people and stop cutting corners on their freedom and devastating the economy for nothing.
Some actual (counter intuitive) “état des connaissances” with respect to lockdown, distanciation, etc. (from the WHO itself !) :
https://www.heise.de/tp/features/COVID-19-WHO-Studie-findet-kaum-Belege-fuer-die-Wirksamkeit-von-Eindaemmungsmassnahmen-4706446.html
for better data
https://rt.live/
https://epiforecasts.io/covid/
“It’s very likely that the maximum infection spread (reproduction factor R maximum) had already passed (by about a week or two, some 10 days) in most of the countries when they applyed lockdown.
A) very likely? HOW LIKELY, see the links above for HOW to calculate probabilities.
“This is true for Italy, France, Spain, Germany and UK for example.”
B) UK https://epiforecasts.io/covid/posts/national/united-kingdom/
C) Italy https://epiforecasts.io/covid/posts/national/italy/
D) Spain MIA
E) Germany https://epiforecasts.io/covid/posts/national/germany/
“Therefore, in those countries, its very likely that the applied lockdowns have had no significant effect on the infection spread (at least, they very unlikely had any effect on the maximum spread of the infection).”
F) you can’t even begin to compare without KNOWING what kind of lockdown
and HOW COMPLIANT the population was.
“Trying to verify this assumption, we can search for a comparison between a zone in which a strict lockdown was applied very soon (at the spread maximum) and another where the lockdown was applied after the infection wave has passed (it seems that this is the case in most of the countries).
This could give an indication on the lockdown effect on the spread peak and the death toll, if any.”
G) First order of business would be to DEFINE what you mean by lockdown and
the second order of business would be to MEASURE whether or not the
population complied with the orders, complied with ALL the orders
consistently and uniformity across your two cases.
“I found two interesting cases to compare :
1) Germany (no lockdown until the reproduction factor R was under 1) and Vo’ Veneto, North Italy (strict lockdown applied when R was at its maximum around 3) :”
H) Germany ordered schools and nurseries to close 3/13,
Nursing homes THE DEATH ZONE close 3/15
Borders slammed,3/22
R0 about 1.5 on 3/13
Lockdown occurred when R0 was ABOVE 1, around 1.5
G) VO R0 First case was Feb 20 R0 was between 1.5 and 2.5
Quarentine ( close the CITY from outsiders, but bars and cafes stay open)
Note this is not a lockdown. the lockdown would not come for another
20 to 30 days.
you want to review yur claims about Italy
https://www.nytimes.com/interactive/2020/04/05/world/europe/italy-coronavirus-lockdown-reopen.html
Per the usual here at WUWT people use the word lockdown as it it had a single meaning
doesnt
@Petit_Barde
Germany had different steps into the lockdown which started already on 3/09.
Here an analysis that people already changed their behavior greatly before the stricter rules started on 3/23:
https://www.youtube.com/watch?v=OLBav50d-X8&feature=youtu.be&fbclid=IwAR1SoeOD_KTrQK55-yo9O9wxEJw0CbF0WVyOacC4262ctPZyowZCwXY6jf8
Subtitle functions from youtube works adequately.
“But how do we know that the reason the places where it hit first were the canary in the coal mine, and other places have avoided a similar fate because people did not wait for the disease to be widespread in their area before isolating themselves?
But this is not strictly related to forced lockdowns…it is the result of how individuals have reacted, lockdowns or no.”
Yes.
Almost every one at WUWT makes the same mistake.
they look at the existence of a lockdown POLICY and conclude that
A) if there is a policy people must be complying
B) if there is no policy people cannot act on their own volition and practice social distancing.
What matters is people’s actual BEHAVIOR, not the presence or lack of “policies”
Take China or Korea, or New Zeeland. When social distancing policies were announced
the population complied and case growth goes down dramatically within 15 days or so.
Why is easy to understand. Policies were followed and the infected were isolated.
Now take New york . Policies in place ( march 19th, over a month late if you had any brains
in Feb)
New York Locked down. Sadly they still get thousands of cases per day.
Poor policy compliance, and no isolation of the infected.
Now take Sweden “soft lockdown” policies . How do we even begin to understand how swedes are behaving differently? Actual swedes in the actual world. what are they actually doing?
avoiding crowds? working from home? washing their hands?
the point is you cannot begin to judge the effectiveness of lockdowns until you actually
look at actual people’s real behavior. Playing with charts comparing “lockdown” versus “no lockdown” is just mathturbation because “lockdown” has no FUCKING UNITS.
what kind of lockdown? how did people comply? dozens of questions and important factors
that get hidden by the 0 or 1 of “lockdown or no lockdown”
One bit of data that helps is “mobility” data. Are people still moving about.
Thats real lockdown data
“Almost every one at WUWT makes the same mistake”.????
I think the majority fully understand the concept of different lockdowns .
All countries have totally different demographics which call for varied lockdown options.
But the effectiveness of the lockdown is not just the deaths saved or reduction in cases or even the flattening of the curve. The effectiveness of the lockdown includes the “cost” to the community. Units of lockdown can ultimately be calculated as $ or $/life saved
Stephen,
I agree with you completely on the points you make here.
I have found little traction with making this point over and over though, as I am sure you are aware.
Even right here, it appears to me that Waza missed the point completely, rebutting about lockdowns, and seemingly ignoring that it is behavior that is the big factor.
At this point, I am wondering how businesses will reopen if the people that run the business are mostly older and thus disproportionately at risk. And knowing this, and being relatively more financially able to survive a prolonged period of reduced or no income, how quickly will those people rush back to work just because a politician told them they could if they want?
Consider something like the NBA: The players are very wealthy. The people that run the teams and the league are not exactly poor, and are mostly not young people.
The league will not be able to resume until the people in charge decide they are willing to take the risk of getting sick.
And an entirely separate factor is emerging, one that I brought up a long time ago but has not been much discussed: The issue of liability, if and when businesses open and some people inevitably get sick, will they be able to sue if they can demonstrate hey got sick at work or at a ball game, and it is known that the people running these establishments were fully aware that some people would get sick?
Sure enough, business owners are now seeking protections from lawsuits:
https://www.nytimes.com/2020/04/28/business/businesses-coronavirus-liability.html
Nicholas
I don’t miss Steven’s point.
I generally agree with it.
BUT it’s not just the effectiveness of the lockdown but also the cost of the lockdown.
Motorcycle helmets, guard fence, linemarking and speed limits are all preventative measures to reduce road deaths. They all have different costs and different levels of effectiveness. Making the speed limit 40km/hr will lead to zero road deaths BUT only if as you say the behaviour of the driver is such that they don’t break the speed limit.
I think it is very obvious to many WUWT readers that lockdowns whether effective or not in preventing covid are NOT cost effective for the community.
Lockdowns are a “cost” for the prevention of a disease.
How much did the prevention cost?
How many lives did the prevention save?
Because covid is a global disease DALYs ( used for disease such as HIV in poor countries) should be used and not QALYs ( used for disease such as cancer in rich countries).
In a Cost EFfective Analysis CEA – what is the cost Of prevention (lockdown) per DALY saved by the prevention.
3xGDP per capital per DALY saved is acceptable
https://www.who.int/bulletin/volumes/93/2/14-138206/en/
So yes lockdown can have units
And we can compare via CEA the success of lockdown in preventing covid vs other prevention – such as cost of wearing motorcycle helmet in reducing head injuries.
In response to Tetris, as Edmund Burke used to say, “There is no knowledge that is not valuable.” The greatly differing rates of infection in various U.S. states demonstrate that in this particular pandemic, more than in most, population density is a very strong factor. As Tetris points out, half of both cases and deaths have arisen in two dense population centers. That is a pattern that one would expect to see where the pathogen in question is considerably more infectious than the flu, where discrepancies between states in infection rates are not as stark as with the Chinese virus.
Lockdowns work because they interfere with transmission. Indeed, the first sign of this fact can be discerned even before the lockdowns, when even the comparatively light control measures had a discernible effect in reducing the daily compound growth-rate in cumulative cases long before those infected had come anywhere close to the percentage necessary to achieve “herd immunity”. A fortiori, the stricter measures that were subsequently introduced will have had some effect also.
In the UK, the reproduction rate was approximately 3 before the lockdown and is now between 0.5 and 0.9, even though the population is nowhere near herd immunity.
CMoB
I am a great fan of Burke. There’s generally something useful to be gleaned, even from codswallop.
NY and NJ are certainly high density areas – but there are plenty of those, including say the Netherlands or Singapore, which do not exhibit the same crushing outcomes.
Maybe some of the genetics driven data regarding several ethnic sub populations will turn out to the explain the variance, at least in part.
Bottom line is that the real tallying – and assessing the real life outcomes on lockdowns both in terms of deaths and per capita socio-economic damage – is only possible after the second wave hits, as it most probably will. Until then we’re dealing with conjecture, no matter how highbrow the packaging.
Christopher
And the apparent community rate of spread is badly skewed because the pathogen has run rampant through retirement homes and prisons, while being relatively benign in the low-population densities of American suburbia. At least in America, it seems to be a disease of high-density cities (with public transportation) and of those who are institutionalized. And were it not for those high-density clusters, the situation in the rural areas would almost certainly be unremarkable.
@Clyde Spencer
Bergamo in Italy and the region Alsace Lorraine in France are indicators that you don’t need a high-density with public transportation to get catastrophic results.
I understand the D in DOTS refers to the Duration of exposure. This is the basis of the 2m distancing rule with an important fact omitted: more than 15 minutes. HM Gov very quickly dropped the 15 minutes (to allow the ‘herd’ to understand what was required) to ensure personal ‘lockdown’ – 2m. If the 2m rule is obeyed (and less than 15 minutes) this term reduces to zero and R goes to zero. If these two are obeyed then Opportunity for transmission (from a cough, sneeze or messy talker) also tends to zero. Probability of Transmission likewise. Finally, the Susceptibility of the target gets a score: 1 if over 70 AND comorbidity exists or less than 70 with a (well-) defined list of illnesses. And zero if outside of this dataset. It is time, having educated the masses, to let people get on with their lives. I believe we now know what is required of us.
DOTS: Rules of Contagion, Adam Kucharski, P58
Local data is better especially since all politics is local.
https://rt.live/
Also true for excess mortality:
Two hotspots in Germany, Heinsberg/Gangelt and Tirschenreuth, had 35.7% and 71.5% excess mortality in March, respectively. No trend for whole Germany yet.
https://www.t-online.de/nachrichten/panorama/id_87784410/so-viele-menschen-starben-in-den-corona-hochburgen-heinsberg-und-tirschenreuth.html
Except in the PRC where what is decided at Politburo level becomes local reality.
Just ask those who were disappeared.
US has already locked in more than 100k deaths despite the IHME current prediction of 74k. The cases over the last 20 days has averaged 30k. That means deaths will continue around 2000/day at least for another 20 days. So 40k on top of 64k gets over 100k.
Sweden is a basket case. It is a long way from its peak deaths. They number of cases assessed continues to rise. The IHME forecast of 17k deaths is a possibility with a peak of deaths in late May. That makes it worst hit of all countries. Every 2 to 3 days Sweden has more deaths from CV19 than their annual road toll.
Initial rate of infection in Sweden was similar to Australia. Australia is heading for about 100 deaths in a population of 25m. Sweden heading for 17k in a population of 10m. Australia is expected to remove most restriction in mid May with no risk of infection while Sweden is heading into its worst period.
Sweden has closed some bars and their press is reporting the difference in CV19 death rates with their near neighbours.
A little more coherence is refuting my points would go a long way.
“US has already locked in more than 100k deaths despite the IHME current prediction of 74k. The cases over the last 20 days has averaged 30k. That means deaths will continue around 2000/day at least for another 20 days. So 40k on top of 64k gets over 100k.”
yep.
I dont think IMHE figure in the queue of people in the hospital or ICU waiting to die.
re: “US has already locked in more than 100k deaths”
AND in light of CDC ‘guidance’ to attribute just about every new ‘death’ at this time to COVID-19, this figure needs review.
Deaths/million is the only meaningful metric, but it’s only meaningful if those deaths are properly categorized.
That said, any of the current numbers and all the arguments around them are moot, because the Piper will come back for a second shout and will have be paid again. Only when we can do an apple to apple Post mortem next year or so from now Will we know.
Comparing deaths in one country to another is BS unless it comparing deaths per million.
Old Construction Worker’s point is precisely is why the graphs in the head posting do not give numbers, but daily rates of change in active cases and in total cumulative deaths: that way, they are respectably comparable, subject to caveats arising from the different start-dates for infection, different population densities, different methods and timescales and criteria for reporting statistics, etc.
The case-growth graph is particularly clear: it shows that even with much additional testing the rate of change in confirmed cases has been declining almost everywhere.
We can’t judge Sweden’s approach to Coronavirus until we get through the coming winter. It may have more deaths per capita now, but it may have fewer deaths in the long run because more vulnerable people have been exposed early in the process.
“…because more vulnerable people have been exposed early in the process.”
I have to remember this euphemism for “died”.
Elizabeth Warren’s brother left us for the happy hunting ground.
How about “life challenged”?
In response to Mr Cherba, the next few weeks will be particularly revealing: Sweden’s public health authority is itself becoming concerned at the failure of the death rate to decline after the peak, and has canceled what had previously been its daily press conferences.
By the end of May, we should have a fairer idea of whether the Swedish experiment has succeeded. I hope that it will succeed, for if it does all countries or states with similarly low population densities will be able to avoid lockdowns. But the jury is still out.
I could wish that our daily White House briefings could be cancelled, until, say, the turn of the 2 deg global temperature rise or 2100 AD, whichever arrives first.
If the White House briefings were canceled, the TDS afflicted would bemoan the ‘lack of transparency’ and accuse President Trump of ‘hiding and doing nothing while people were dying during a crisis’… and similar drek. It’s similar to the sideline lurkers that throw rocks at firefighters, as they are working to gain control of a fire.
There is good humor out there, however! Michelle Obama was speaking out recently, admonishing Americans to “stay at home, except for essential trips”…. even though hubby Barackward was out golfing at a country club. D’OH!
https://www.breitbart.com/politics/2020/04/30/michelle-obama-asks-dc-residents-to-stay-home-while-barack-goes-golfing/
Golfing at the exclusive country club is Essential! };>)
Today’s reported new C-19 deaths in Sweden was high again today so it continues to separate itself from it’s next-door neighbors:
Sweden: 256 reported deaths/M pop
Norway: 39
Finland: 38
RE Bob Cherba & CMoB comments, we don’t know how this will ultimately play out at this time.
195 countries with corona-
233,632 deaths
167,413 of those deaths in 5, 1st world countries.
Something smells wrong here, feels like the numbers have been massaged.
Hmnmm… something smells wrong here!
Though in the states the amount of deaths is still below 2019-
These are total mortality statistics for 15 weeks for the United States from the Centers for Disease Control:
TOTAL 2019- 865,181 2020- 819,659
something smells wrong?
go get a test
He’s still got his olfactory capabilities – one of the first things to go in those infected.
in some cases not all.
Step 1 Notice smell.
Step 2 “go get a test”
Step 3 Report result in approved format.
‘Will COVID-19 be the underlying cause? The underlying cause depends upon what and where conditions are reported on the death certificate. However, the rules for coding and selection of the underlying cause of death are expected to result in COVID-19 being the underlying cause more often than not. ‘
https://www.cdc.gov/nchs/data/nvss/coronavirus/Alert-2-New-ICD-code-introduced-for-COVID-19-deaths.pdf
Step 4 Results not up to scratch? Use the Tree – ring circus method and find an appropriate sample to test.
https://climateaudit.org/2007/10/17/almagre-strip-bark/
so in fact most countries have nothing to worry about. It was only 5 countries out of 195 that bore the brunt.
It just means we count better + the virus really does not seem to like hot and sunny countries.
Ecuador? Low official numbers on Worldometer, but the excess deaths figure, which went through the roof after the virus took hold, was over 10k higher than the average for the previous 5 years. It’s very likely that the virus is to blame, and if it is then that would suggest it’s also quite efficient in “hot and sunny countries”.
Do you actually expect a country like Ecuador to provide anything even remotely resembling reliable data?
Counting the dead is relatively easy. Reporting it may be delayed but that’s bureaucrats for you.
The economy in Ecuador has collapsed. Poor, chronically malnourished people can no longer afford food, so they become more malnourished and more susceptible to disease. It’s best to consider all factors before ascribing blame to viral pathogenesis.
Quito has a very equable climate. Not what you might associate with being on the equator. Average maximum is pretty stable all year round at 19C or 66F dropping to 9C or 48F overnight.
3rd-world reporting is likely sub-par and some of the 3rd-world countries battle malaria and/or have more favorable weather (hot & humid) which may be beneficial with respect to C-19 case numbers.
Richard. Where did you get the numbers for deaths for 15 weeks in 2019 and 2020?
The CDC website doesn’t seem to have numbers for 2019, much less 2020.
https://www.cdc.gov/nchs/nvss/deaths.htm?CDC_AA_refVal=https%3A%2F%2Fwww.cdc.gov%2Fnchs%2Fdeaths.htm
Go here and click the download button and the select the seasons and details you want (region, state)
https://gis.cdc.gov/grasp/fluview/mortality.html
Indonesian researchers assessed that Vitamin D deficiency was a compelling factor in CV19 death rate. Highly deficient meant up to 20X the likelihood of death compared to someone of similar age with normal Vitamin D level:
https://papers.ssrn.com/sol3/papers.cfm?abstract_id=3585561
Could explain the difference between east and west coast CV19 fatality in the USA. Spend a few minutes a day in the sunshine when the opportunity presents.
Or they could just look at Willis’s graphs showing aligned deaths per 10 million and they would see all graphs levelling off at between 600 and 6000 deaths per 10,000,000. Badly infected countries with low death to population ratios have exemplary elder care (Germany, Norway). Since almost all deaths are in the elderly, and since the disease is clearly uncontainable in most western countries then country performance in terms of deaths will be largely attributable to how well the elderly are protected. This was graphically illustrated in Canada where our PM turned all his drama coaching skills towards shutting down the economy while ignoring the most vulnerable in elder care. The result was an unconscionable number of deaths in shoddy elder gulags. Canada would be doing much better if not for that shameful lack of deductive ability in our leaders.
BCBill makes a very good point about varying standards of care for the elderly. My lovely wife and I had been visiting a local care-home here daily for some months. The care home – exceptionally well managed – barred all visitors a month before the Prime Minister finally woke up and locked the country down, and even before that they were cleaning foci of transmission such as entrance lobbies and elevators with aerosolized HOCL and surface cleansers many times a day. No one at the care home – staff or patients – has become infected.
I remember early on many were saying we need lockdowns to prevent health system from being overrun, but in the USA it is not being overrun now. So open it backup and if it appears it is going to be overrun start mitigating again.
Good news is FDA appears likely to grant emergency use for remdesivir. I wonder how though supply will be given out. We can’t have some states buying up whole supply. Federal government may have to step in decide on distribution of drug. There is limited supply right now.
In response to Stevek, we are on the same page. Now that the lockdowns have achieved their primary purpose, the lockdowns can be cautiously dismantled.
As for remdesivir, there seem to be two studies in circulation – one which says it has no effect and another which says it reduces fatalities by about a third. Not a magic bullet, then, but, if the second paper is right, certainly of great help.
Stevek will also be interested in information from several commenters to the effect that the BCG vaccine against TB, which is widely used in Africa and Asia, may have an even more powerful effect in inhibiting transmission, though I do not know of any clinical trials to establish the point definitively.
CMoB
There is a n=1,400 full clinical trial ongoing at two academic sites in the Netherlands to elucidate precisely that.
Many thanks to his Lordship for pointing out BCG vaccine.
And me? I told you where it’s happening.. 🙃
Let us keep in mind that one of the studies took place in a location not exactly noted for being extremely trustworthy.
I think few of us would put anything past them, including perhaps jacking the numbers.
They have not exactly shown a strong desire to minimize how this virus has effected the rest of the world.
I would discount that study no matter whether it said it worked or whatever.
On top of that, it seems almost everyone in that study got numerous experimental drugs in addition to remdesivir/placebo.
As to BCG, no one has any definable medical reason for believing that a not particularly effective vaccine against a bacillus, could have a protective effect for a viral illness.
But there is a good reason to think that the NNR vaccine might have such an effect, at least theoretically, that vaccine has a certain degree of molecular similarity to Flu Manchu antigen, 25% IIRC.
And in most places where vaccinations are widely used, they are given as part of a vaccination program that is to some degree comprehensive. IOW, it is known that most people who get one vaccine get the other.
Other data shows a more generalized immune effect may be caused by the vaccine.
Trials are under way, but experts are cautioning against making too much of so-called ecological studies that showed an apparent inverse correlation between COVID rates and usage of BCG.
Personally, I am just amazed that so many people are so quick to give undue (IMO) credence to anything which is reported to have some possible benefit.
Here are a few very interesting articles, from each side of what now appears to be a raging debate:
Maybe it is another vaccine given at the same time as BCG:
https://www.medrxiv.org/content/10.1101/2020.04.10.20053207v1
BCG works poorly in adults, but is extremely variable in general as to efficacy against TB, 0 to 80%.
Seems to boost immunity broadly by some happy coincidence, and is even used against bladder cancer:
https://www.forbes.com/sites/madhukarpai/2020/04/12/bcg-against-coronavirus-less-hype-and-more-evidence-please/#6d2b30926b4f
Give it up, anti-vaxxers:
https://bgr.com/2020/04/08/coronavirus-cure-bcg-vaccine-may-provide-some-covid-19-immunity/
Hey, this stuff looks GOOD:
https://www.livescience.com/coronavirus-protection-using-tuberculosis-vaccine.html
A simple search using BCF and Coronavirus gives enough material to keep even an avid speed reader busy for several pandemics worth of inside time.
Sorry, that is MMR vaccine, not NNR.
The BCG innoculation was routine for children in the UK until 2005. It is still given to those at risk. Practically all those over 30 will have had it in childhood.
Mods, I seem to have a post in moderation due to numerous included links.
Thank you.
The BCG vaccine is an interesting case. I suspect it was spotted by someone browsing through the population pyramid site and seeing this map
https://www.populationpyramid.net/hnp/immunization-bcg-tuberculosis-of-one-year-old-children/2015/
which has some startling resemblances to areas of low virus transmission, including in Eastern Europe for example. But that is for infants in 2015, who would now be rising 6. Track back to 1995
https://www.populationpyramid.net/hnp/immunization-bcg-tuberculosis-of-one-year-old-children/1995/
and we find that France and Ireland had high immunisation rates – and this goes back to 1980 when the data start. So those people would be 40 now. Not exactly into the high risk age group – but if they had a good immunisation record, why a bad Covid one?
Admittedly, the data may have all sorts of lacunae: I recall the double imposition of the six needle shots in my teens on going up to university, so immunisation as an infant doesn’t mean there wasn’t immunisation later..
It’s bemusing, this notion that government laws/rules can make things magically happen against peoples’ will. Prohibition comes to mind. Did alcohol use disappear? Has any gun ban made them go away? Heroin & crystal meth are illegal in the U.S. That must mean that no one uses them, right?
When people want something, they will get it. When they get tired of a rule, they’ll disobey.
All true.
I would add another: When people have a very strong desire to avoid something, they will do so, without being ordered to avoid it.
Indeed. Which makes government coercion largely unnecessary.
Thinking back at the sequence of events here in the US, there was a particular event which caused many people to tolerate and perhaps be in favor of imposed restrictions, who might not otherwise have been at all happy about such measures: It was at the Spring break celebrations which were widely reported, in which dense crowds of young people were seen on beaches and in various bars and nightclubs. Not only were these people actively ignoring advice on social distancing at a time when most people were taking prudent steps to avoid the virus, but in many cases, these people were interviewed on camera actually mocking the virus, and the disease, and the idea of being concerned whatsoever.
And all of this while many people were forced to stay home due to closed businesses, and other people were gravely ill and still others dying in increasing numbers.
When those video interviews became viral, I think there was a strong sense of outrage and indignation from those who were trying to be responsible, to do their part in preventing the contagion from spreading, at the attitudes of those young people.
At least here in Florida, and I think in many places, this was the straw that broke the camels back, and state and local officials stepped in, and ordered bars and beaches to close.
I think it is more or less like how people feel about drunk drivers, and people who drive recklessly, and drive way faster than everyone else on the highways: Those few people are subjecting everyone who is being responsible to a level of danger and risk that the responsible people deem unacceptable.
And so few people are very sympathetic to drunk drivers, reckless drivers, jackasses driving 100 miles and hour, etc.
Even people who are generally libertarians do not spend time trying to defend that sort of behavior.
This situation is only vaguely analogous of course, and at this point more and more people are chafing at the entire situation, who were willing to accept it for a period of time.
I am not willing to risk getting this virus just yet, and so I am not going to insist everyone else go back to work so as to prevent economic damage which will impact me.
But neither am I willing to ignore that many of these restrictions seem to have no basis in Constitutional authority.
It is a fact that the vast majority of people will not die from COVID should they become infected.
But it also seems to be true that a lot of people that do not die will have a very bad time of it in the process of not dying…more than is typical for something that has this particular CFR.
Tough situation, made worse by unscrupulous politically minded opportunists, who see a golden opportunity to grab a whole bunch of our rights away from us.
There is no right to not be contaminated nor duty to not walk around carrying germs. Only the Vaccination Church brainwashed people into thinking otherwise.
Typhoid Mary agreed with you.
Every US court all the way to the SCOTUS disagreed with her and her lawyers, and she was detained for the rest of her life when she refused to comply or agreed to treatment.
List of existing statutes regarding quarantines, by state.
https://www.ncsl.org/research/health/state-quarantine-and-isolation-statutes.aspx
Although I never mentioned rights or duties.
Oops, obviously I did make a mention of rights in my last sentence.
But the point I was making regarding why people have accepted lockdowns was not about rights, but about behavior and sentiment.
The government can take away every right we have if no one cares or complains.
I have never heard anyone assert a right to walk around spewing virus, or anyone claiming a right to be protected from contagion.
But I am sure AOC would be very happy to have this last one occur to her, or to have someone else suggest the idea.
Because if people have a right to never be exposed to a virus, obviously everyone will have to be tested whether they like it or not, and government will need to have unlimited power to segregate those sick or suspected of being sick.
The actual situation is that governments are generally recognized to have a responsibility to protect the people from harms and dangers.
Which is why no one has a right to have a campfire during a drought, and no one has a right to be Typhoid Mary, or a right to drive 100 mph, or build unsafe structures.
Nicholas
You say no one has the right right to drive 100mph.
Speed limit is a passable analogy.
USA speed limit on highways are 55mph or 70mph
In school area 25mph.
Speeds less than 25mph are considered to be non lethal.
The various lockdowns could be analogous to some countries reducing speed from 55/70 to 25, or 20, or 15 or 40, or 50. There will be various reductions in road death but 15 not much better than 25, and then there’s the behaviour thing. If people think the speed reduction is excessive they will not obey it.
Nicholas McGinley, you have not ever invented a vaccine or cure, so by your very own standard you have no right to intervene.
Do you actually think there is no coercion going on?
Better brush up on Sociology/Political Science 101.
Hint: in many democracies fundamental, constitutional rights are being walked all over in order to prevent their healthcare systems from being swamped.
Tetris, it’s unclear who you’re responding to here. Also not clear what your position is on the issue.
In response to Mr Cranch, people who are neither Communist ideologues nor far-Right ideologues use their common sense. There was widespread support for the lockdown in the UK when – very belatedly – it arrived, but the increase in travel on the roads, now higher than at any time since the lockdown began, indicates that people realize the lockdown has achieved its primary purpose and want the government – which dithered fatally before introducing the lockdown – to stop dithering before bringing it to an end.
Here in Michigan, under one of the strictest lockdowns, on sunny days you see motorcyclists out in force, clearly violating the Governor’s Executive Order. Of course, if stopped by the police, they were going to buy groceries. The police, however, aren’t stopping anyone except the person who was doing 180 mph on I-94. Others, who will remain nameless, are working, perhaps illegally, because it’s better than sitting home and waiting for unemployment which may never come, and slowly going insane. And Representative Justin Amash, arguably the most honest man in Congress, has just thrown his hat into the Presidential ring as a Libertarian. Between foot-in-mouth Trump and mouth-in-foot Biden, we may have someone worth voting for in November. Assuming we’re still alive. If not, we can still vote in Chicago.
If they’re on their own, they are no risk to anyone.
Now, if they were kissing and cuddling everyone they passed, they may be a risk!
“The next few weeks will make or break the no-lockdown policy, for Sweden’s first cases of infection were later than in most of the worst-affected European countries.”
It has been 6 weeks since they reached 1 death per million population.
If the disease was going to cripple them, it would have by now.
Based on the original doubling scenarios, since they are simply social distancing, they should be seeing at least 250 times as many cases by now and as many as 16,000 times as many. That is how the “experts” scared you, Lord Moncton, and the governments into taking the fetal position and begging the experts to save you from the boogey man.
Simply put, if Sweden was going to fail, they would already be failing. That egg on your face dried up weeks ago. It is not going to simply wipe off.
Mr Aston continues to be incapable of civil discourse and incapable of setting aside his blind prejudice. In difficult situations such as this, it is all too easy to be wise with hindsight. But the wise virgins in this instance were South Korea and Taiwan, who acted at once on realizing that this pathogen was dangerous.
Act at once and lockdowns are unnecessary. Act a little bit later and lockdowns, while necessary, will be short-lived and will be rapidly brought to an end when they have done their work. Act very late, as HM Government did, and an exceptional mortality rate becomes inevitable, and the lockdown will have to be more severe and will do more economic damage, and ending it will be more problematic.
Arguing that I cannot be polite when you attacked my intelligence in other threads and the censors keep blocking otherwise polite fact based posts seems to be you being impolite with me.
Sweden did practically nothing and their situation is reasonable. Your statement above says that if you do not act fast then you have to lock down harder. Sweden did practically nothing and 6 weeks after getting a wide spread infection status they are still doing fine.
Arguing that the lockdowns had any significant beneficial effect at this point pretty much means you are incapable of learning from evidence that is right in front of your face.
The fact that many places, New York City, 25% and climbing positive serology testing. Stockholm 30% and climbing positive serology testing. Weeks ago German town that had 15% positive serology testing (probably now pushing into the 30% to 50% range. Stockholm started out ahead of New York City and logically will have a higher rate of infection from time alone. New York City may have a bonus infection rate from being more compact. But over all, there is not that significant a difference between the 2 locations to make the argument that the lockdown saved the city.
It seems to me that you are simply trying to save face for supporting unconscionable lockdowns that trap healthy people in their homes for no real good reason and destroy vast swaths of the economy that keeps people healthy and prolongs their lives.
Remember the arguments against the global warmist who want to destroy our energy infrastructures? Well, destroying the economy is likely an order of magnitude more damaging to life expectancy as simply having brownouts.
“Possible active ingredients against the coronavirus found
World Health Organization publishes research results from Johannes Gutenberg University Mainz
Several drugs already used against the viral disease hepatitis C may also help against Covid-19, a disease caused by the coronavirus SARS-CoV-2.
Scientists at the Johannes Gutenberg University Mainz (JGU) have come to this conclusion through complex calculations with the “Mogon II” supercomputer, which is operated by JGU and the Helmholtz Institute Mainz and is one of the most powerful computers in the world.
As the researchers describe in a study recently published on the website of the World Health Organization (WHO), they had simulated how around 42,000 substances listed in public databases bind to certain proteins of SARS-CoV-2 and thus inhibit the virus’ penetration into the human body or its replication.
As the scientists found out with more than 30 billion individual calculations in two months, substances from hepatitis C drugs most likely bind very strongly to SARS-CoV-2 and can thus possibly prevent infection with it.
According to the researchers’ findings, a natural substance from the Japanese honeysuckle (Lonicera japonica), which is already used in Asia to treat various other diseases, could also possibly have a very strong effect against SARS-CoV-2. The results must now be verified by laboratory experiments and clinical studies.
(translated with DeepL)”
German source:
https://merkurist.de/mainz/forschung-an-jgu-moegliche-wirkstoffe-gegen-das-coronavirus-gefunden_qlw
A lot of people have been infected with hepatitis C, and all of them have some amount of circulating antibodies.
Some who are infected clear the virus spontaneously, after an effective immune response, and are likely immune from then on, at least for some period of time.
Other become chronically infected, and carry the virus around, which is constantly reproducing in large number, while their immune systems put up a continuous and strong viral immune response, eliminating the virus at about the same rate as it reproduces…in excess of a trillion virions per day.
So these people also have antibodies, and an always on viral immune system.
Some of the chronically infected get treated, and at this point, treatments are effective enough to cure most of them.
What those drugs do is much like what antibiotics do in the case of bacterial infections: The prevent the virus from reproducing, and the intense (but up to that point insufficient) immune response they have ongoing within their body then eliminates the virus.
So they have antibodies too, after being cured. Perhaps a lot of them, as many are fighting the virus for decades before getting cured.
So at any given time, there are a lot of people chronically infected, with a switched on viral immune system.
And others taking the HCV antivirals.
At least some of those people have been exposed to the virus.
It should be easy to check the data base of everyone getting treated and the present time to see if they are having a disease progression and rates of severe disease any different than others in their demographic.
Let’s have a look at how people taking these drugs for hep C over the past few months have fared.
It’s interesting to read further, the named plant Lonicera japonica is well known,
The Ethanol Extract from Lonicera japonica Thunb. Regresses Nonalcoholic Steatohepatitis in a Methionine- and Choline-Deficient Diet-Fed Animal Model
Scientists Discover First ‘Virological Penicillin
Identification of natural compounds with antiviral activities against SARS-associated coronavirus
Traditional Chinese Medicine in the Treatment of Patients Infected with 2019-New Coronavirus (SARS-CoV-2): A Review and Perspective
Most grateful to Krishna Gans for the information on the computer studies to identify existing remedies that might bind to Chinese-virus spike or envelope proteins so as to inhibit intracellular penetration. I look forward to the clinical trials.
In Oxford, the trial of a vaccine is now entering its second week, and there will be expedited results perhaps by as soon as the end of June. The researchers are 80% confident that they have engineered a workable vaccine.
You are welcome, MoB
I just found the original study about:http://dx.doi.org/10.2471/BLT.20.255943
Simeprevir, Paritaprevir, Grazoprevir and Velpatasv are these meds in question.
Interesting paper how co-morbidities affect years lost of deaths by COVID-19:
https://wellcomeopenresearch.org/articles/5-75
Surprisingly low effect of 1 co-morbidity on general live expectancy. 10y lost on average. So just counting no vs. 0< co-morbidities of SARS-CoV-2 induced deaths is not appreciating that many of those people would probably not have died anytime soon without the virus.
One reason there are so many people that have hypertension, and many who have diabetes, and many who are severely overweight, including many people who are very old and who have had these conditions for a long time, is because they do not generally kill people these days.
The drugs that treat these conditions are good at keeping people alive…statins for hyperlipidemia, and the drugs that treat those other conditions, work very well.
Correct and why we laughed when Willis introduced the concept of delayed deaths as if there was this massive army of walking dead zombies.
“many of those people would probably not have died anytime soon without the virus.” And in other years?
In NZ the average age of those deceased with or from covid19 is 80; all had comorbidities; over half were in care homes with multiple underlying conditions; most of those were in a high-security dementia wing of a rest home before suffering the trauma of being transferred to a hospital with no contact with loved ones. There is no conclusive evidence that ANY of these died from this year’s seasonal flu, but certainly none at all that this virus is more lethal than most – seems to be milder if anything.
In many other countries the median is <75y so 50% of the dead are younger than 75.
Indonesian study: Low Vitamin D patients ten times more likely to die of Coronavirus
The study:
Patterns of COVID-19 Mortality and Vitamin D
causation vs correlation problem.
People that are healthier and mobile tend to go out more often and are more active so have higher vitamin D levels.
Differences in life style are a big source of confounding effects in studies.
What ever the reason for Vitamin D deficiency is….
You can stay at home, take you daily dose of vitamin D3 and have no deficiency, where is you argument ?
who will sell me a “r” ?
My point is that making people believe vitamin D helps them to prevent a SARS-CoV-2 infection is unjustified if confounding factors are not ruled out.
And you can overdose yourself with vitamin D:
“Vitamin D toxicity can cause non-specific symptoms such as anorexia, weight loss, polyuria, and heart arrhythmias. More seriously, it can also raise blood levels of calcium which leads to vascular and tissue calcification, with subsequent damage to the heart, blood vessels, and kidneys [1]. The use of supplements of both calcium (1,000 mg/day) and vitamin D (400 IU) by postmenopausal women was associated with a 17% increase in the risk of kidney stones over 7 years in the Women’s Health Initiative [70]. A serum 25(OH)D concentration consistently >500 nmol/L (>200 ng/mL) is considered to be potentially toxic [5].”
“The FNB concluded that serum 25(OH)D levels above approximately 125–150 nmol/L (50–60 ng/mL) should be avoided, as even lower serum levels (approximately 75–120 nmol/L or 30–48 ng/mL) are associated with increases in all-cause mortality, greater risk of cancer at some sites like the pancreas, greater risk of cardiovascular events, and more falls and fractures among the elderly.”
https://ods.od.nih.gov/factsheets/VitaminD-HealthProfessional/
And with supplements that is easily done if people don’t follow the guidelines and just think “the more the better”.
Oh, and you should be careful to have sufficient supplementation with vitamin K2.
MoB
Sweden may warrant a much closer look. The daily rate of change does not support the exponential growth rate predicted by herd immunity.
I wonder if we are not seeing a hybrid solution with Sweden. The economy remains open while the population self-isolates to protect those at risk.
If correct, it points to total lock down as a policy failure. Rather a better approach would be to quarantine those at risk, with the healthy.
Sweden is a basket case. It will end up with the highest death rate. They are currently losing their annual road toll to CV19 every 2 to 3 days and the number of cases is still accelerating. Their peak is forecast late May with death toll by August of 17k. By far the worst per capita of all countries.
RickWill
I’m always impressed by those who own an infallible crystal ball and are willing to unequivocally say things with absolute certainty. I hope that you have the intellectual integrity to commit to come back in August and acknowledge if you are wrong. If you are absolutely certain, you have little risk in making the commitment, because it will give you an opportunity to gloat.
Myself, I prefer a more nuanced approach because I know that I’m human and fallible.
the number of cases is still accelerating.
≠========/
That is not the case. Worldview shows that the number of daily new cases and deaths are steady or falling slightly. And since the daily change gives us the first derivative of the totals, a constant first derivative means Sweden is not experiencing exponential growth in cases or deaths.
Quite simply, Sweden appears to be defying the prediction of run away exponential growth. Something unpredicted is happening, which in science often turns out to be quite important. Hopefully this will get more attention.
We will learn from Sweden. Yet some will ignore that Sweden has done far more then nothing. Just as the disease can grow exponentially, so social contacts can, through social interaction patterns, decline exponentially.
Take for instance grocery stores are still open.
Yet the Mom that is staying home, that walks in to buy the groceries interacted with zero people at work, whereas before she regularly interacted with 20 people, who also interacted with 20 people, before interacting with her. Thus the busy interactive mom is, in a sense, 400 people walking into the store, and the grocery store cash register worker, who checks out 100 customers a day, is, in a highly active no restriction society , checking out 100 x 400 people each day. Social interactions are highly leveraged.
A significant part of this challenge is widely disparate applications of testing and assigning cause of death. Just like with CAGW, the numbers must be both accurate and consistently derived to have more meaningful results.
Here is Sweden’s data dashboard, which is pretty informative:
https://experience.arcgis.com/experience/09f821667ce64bf7be6f9f87457ed9aa
Click around to see charts on “avlidna” (deaths – showing a clear peak and fall) and intensive care numbers, and click on the map to see local data.
Thanks!
1,515 in intensive care make way more sense in the context of their death count than the numbers on worldometers.
MoB
I reccommend this
https://epiforecasts.io/
“We used daily counts of confirmed cases reported by the European Centre for Disease Control for all analyses conducted at the national level [1, 2] .
Case onset dates were estimated by transforming case confirmation dates using an onset-to-confirmation delay distribution that was derived using all cases from a publicly available linelist for which onset and confirmation dates were available [3, 2] . The date of infection was then assumed using a median incubation period of 5 days [4] .
The right-censoring of cases that have had symptom onset but are yet to be confirmed was adjusted for by upscaling the numbers of case onsets close to the present date. This assumes that cases that have already onset are drawn from a binomial distribution with the probability of onset having occurred by a certain point given by the onset-to-confirmation distribution.
Time-varying effective reproduction estimates were made using EpiEstim [5, 6, 7] adjusted for imported cases, optimising the window using a one-day ahead nowcast, and assuming an uncertain serial interval with a mean of 4.7 days (95% CrI: 3.7, 6.0) and a standard deviation of 2.9 days (95% CrI: 1.9, 4.9) [8] .
Time-varying estimates of the doubling time were made with a 7-day sliding window by iteratively fitting an exponential regression model.
We forecast the time-varying effective reproduction number over a 14 day time horizon using the best performing inverse variance weighted ensemble of time series models [9] as assessed by iteratively fitting to a subsample of the estimated effective reproduction number estimates for each region [10] . Perfomance was assessed using CPRS scores, interval scores, PIT calibration, bias and sharpness with an ensemble being preferred that minimised the CRPS score whilst being calibrated, unbiased and as sharp as possible over the full time horizon [11, 12, 13] .
The reproduction number forecast was then transformed into a case forecast using the renewal equation and a Poisson distribution of cases [14, 15] .”
https://epiforecasts.io/covid/posts/national/united-kingdom/
Well it is certainly comforting to know that they used a simple, uncomplicated approach to minimize errors. Otherwise it is rather hard to say what might have happened.
M is cumulative mortality, presumably from COVID-19, of course. But is M real? I am not convinced that all mortality attributed to COVID-19 is, in fact, the result of COVID-19. Where is the proof? Where are the autopsies showing actual presence of a viral load of SARS-CoV-2 sufficiently linked to the chain of events leading to death, to record COVID-19 as THE cause of death?
I have an uneasy feeling that far too much faith is being placed in the validity of M, and so even the most elegant mathematical formulation using this variable could turn out to be an elegant invalidity.
No disrespect to the formula, … just nagging doubts about the quality of input.
Does the diagnostic test for the virus actually, reliably detect the virus? — my understanding is that it does not. My understanding also is that what it detects might not be a signature of the virus in question. My concern also is that attribution of deaths to the virus are being haphazardly done.
There seems to be too much of a mess of ascertaining the actual reality, let alone being at a point where we can apply a neat mathematical formula to assist in foreseeing a possible outcome.
The formula should be
T = M + m SIGMA(d = 0 to oo)((n-1)/n)^d
= M + mn
“Of course, one hopes that any rate of decline in deaths (it is not yet established in the U.S.) will itself decline. Therefore, it is helpful to give Ministers a ready-reckoner table showing how many deaths will occur from day d to the end of the pandemic for various values of n:”
it might be easier to just count the number of people in the hospital and apply death rates per age category.
i did this for Korea a couple of months back.. works ok.
This will give you a lower bound on deaths.
what will be missed is additional deaths due to new cases. easy to estimate this as well, but more uncertain
https://www.medrxiv.org/content/medrxiv/early/2020/04/28/2020.04.23.20076042.full.pdf
Hey did your life change?
a puzzle for skeptics
1. you doubt the numbers
2. you doubt the models
Your life has changed. you live in a lockdown imposed by governments.
Without using data you distrust, without using models you doubt, convince your leaders that
they should change their minds.
I’ll pretend I am a policy maker.
Convince me.
Convince me without using data you mistrust and models you think are junk.
If there is data you think you can trust, trust me I’ll show you the problems with it
go ahead. I took away your freedom for your “own good.” Now, convince me you should get it back.
neat trick huh?
ground rules for convincing me? no models, no predictions of any sort that rely on untested non validated math formulas. no data. It can’t be trusted and hasn’t been audited. Since you don’t trust data and models
you can’t use them to convince me.
Convince me.
quite the puzzle.
No my life didn’t change. The sun is still coming up, the cows are being milked and fed , and the milk is processed and dispatched. The sheep are fine . The goats look great , and grass is growing.
That’s just the breaks when you are an “essential person”. You know – keep calm and carry on.
I hear non-essential people have had quite a fright though.
Oh , and the NZ government appears to have broken the Emergency Regulations and “over-ruled ” the Director -General of Health.
I guess that you can call that a coup.
You are using emergency power laws I have to get you or the powers removed by whatever process there is to do that …. I don’t have to convince you of anything.
I guess like many on here I could try writing thousands of “I don’t want no stinkin lockdown” posts on a Climate Change blog. Okay it won’t lift the lockdown but I got my daily whinge out there because it’s really important.
Did I get it about right 🙂
yup. that’s about right.
Emergecny power have been exercised. Politicians love power.
you won’t convince them with words.
The troubling implication of what you are saying is, when we spend all day and night on here shooting the breeze, we are just talking?
The online equivalent of a coffeehouse debate?
Less impactful than even a medium sized twitterati scolding, or a viral you tube video of a sovereign citizen getting arrested for driving without a license?
Doh!
There are a lot of people in Canada who are going to go broke due to the lockdown. Economic disaster produces depression, with consequent personal and family disruption, including suicide. Effects of this on life expectancy are very significant and long lasting. For example, see abstract below. None of the modelers or politicians have considered that the ultimate effects of lockdowns may well be worse than the virus. Public health has to consider all potential life years and qualy years lost, not just treat this particular problem in isolation. The initial Harvard longitudinal study found that major depressive illness before the age of 50 took off 10-15 qualy years. – See Valliant and newer data below.
https://www.sciencedirect.com/science/article/abs/pii/S0165032715310740
Highlights
•
The overall mortality rate ratio was 2.09 (95% Confidence Interval (CI): 2.07–2.10) in people with a previous unipolar depression diagnosis compared to the general Danish population.
•
This translate into a 14.0 (men) and 10.1 (women) years shorter life expectancy assuming onset at age 15. At age 60 the remaining life expectancy was 6.1 (men) and 5.8 (women) years shorter
•
Mortality rates were twice as large the first year after onset of the depression compared to later.
That won’t convince him, he is using emergency powers act and does not have to care 🙂
Hint he set it up as a quiz to poke fun at well lets just call the group “lockdown triggered”. All the satire and fake new sites are doing because it is actually funny how irrational people can be.
I should add given his rules, he didn’t exclude bribes so that may be an answer to try for the quiz.
Mosher
It might be easy to convince ‘you’ from the simple fact that the models have not done well. The original rationalization for lockdowns was a concern about overrunning the capacity of hospitals, even with the severe restrictions. “Flatten the curve,” was the rallying cry. However, the problem with “convincing” people is the problem of saving face. Nobody wants to look like a fool. Did most countries and states over-react? Probably. But, being responsible for damaging the economy and inconveniencing people, no government leader is going to stand up in front of a TV camera and say, “My bad! I over-reacted and didn’t even try to find a less-onerous approach.”
Instead, let’s switch the players.
It’s the next pandemic. I’m the voter. You’re the policy maker.
Ground rules? You may use your fav model used last (this) time to make your predictions this time. You must show me the statistical result set (projected deaths, beds, ventilators, etc.) of your model for any day I choose during the lockdown of the last pandemic, for as many choices as I wish to make. The runs must be done using the data available on the day of the original run. The code must be the same code used on the day of the original run.
How will you convince me that I should allow you to once again take my freedom away “for my own good” based upon the evidence of your model alone?
Depends do we still have the same emergency laws in place?
I might be quite willing to lie to you but then lock you down because I am mean and devious 🙂
You forget that people can and will at some point – different in different cultures- tell their politicians to eff off.
Happened in South Korea in the late ‘70 (for different reasons) and in practical terms happened in e.g. France, Scotland and in several US states over the past weeks.
Psychologists will tell you we all have our breaking point, so nothing new there.
One thing I’m pretty sure of, is that confining / locking down entire populations a second time when the next wave shows up, is not going to happen without bloodshed – think Yellow Vests in France.
Now there’s something, if I were you, imagining your running the show, would chew on real hard. You can’t do Prague (1968) or Tian Anmen (1989) is western democracies, certainly not in the US.
I would say, look at the mortality rate by age. Here in Michigan, the median is 74 years. Then cross-check that with comorbidities. That isolates your vulnerable population. Apply social distancing and isolation to them. Let the rest of us get on with our lives.
@Steven “quite the puzzle” NOT!
You are destroying the livelihood of voters. The ones you are trying to “save” will think they didn’t need saving and will not appreciate something that didn’t happen. The voters will remember that when the next election occurs. They will vote you out of office, and use your name as a pejorative for a stubborn jackass, who crushed the local economy and created a downward spiral in opportunity and desirability to live in this area.
Your children will become embarrassed to admit they know you, and will change their family name to “Trump”. They will move away to another area where jobs are available, and where no one knows they are related to a pompous windbag, that thought “Home of the Brave”, meant cower in place.
People never appreciate what doesn’t happen. They expect what doesn’t happen, to not happen.
https://www.nbcnews.com/politics/politics-news/hundreds-protest-michigan-lawmakers-consider-extending-governors-emergency-powers-n1196886
These guys doubt data and models
No, they doubt the government’s legitimacy.
Which as someone with a background in sovereign risk assessment, I can tell you is by far, far more dangerous than doubting models.
Remember what’s on New Hampshire license plates?
This was from the April 15 protest on the steps of the Michigan State Capitol. The state motto of New Hampshire is partially eclipsed by the American flag in the upper right corner.
?quality=90&strip=all&strip=alli
Hey look a group doing something that might actually change emergency powers, it is certainly a lot better than posting never ending complaints on a Climate Change website and attacking people on the site who disagree with your view.
Opps
https://www.the-sun.com/news/759445/coronavirus-cases-spike-germany-japan-china-lockdown/
Countries will now engage in uncontrolled experiments.
results from imposing and lifting lockdowns will be all over the map.
“One island in Japan has also been hit by a second wave of coronavirus after taking the decision to lift its lockdown.
Hokkaido eased restrictions on March 19, allowing businesses and schools to reopen after cases fell to one or two a day.
But 26 days later, the island has re-enforced its lockdown after 135 new cases were reported in a week.
Dr Kiyoshi Nagase, chairman of the Hokkaido Medical Association, told TIME: “Now I regret it, we should not have lifted the first state of emergency.
“It really may not be until next year that we can safely lift these lockdowns.”
BUT
‘In Austria, new cases have remained below 100 for nearly two weeks now since reopening some non-essential shops.
The country plans to ease more restrictions throughout May, allowing more businesses and even hotels to reopen and abandoning restrictions on non-essential movement.”
weird huh?
“weird huh?”
Dr. Murray of the University of Washington said a few minutes ago they are seeing very different infection rates in various places that he doesn’t have an explanation for.
The next few weeks will be very interesting..
Yes.
In the end we still won’t know everything needed to know to engineer our way out of the disaster
whether that disaster is the disease or the economic melt down
welcome to the world of uncertainty, DEEP uncertainty.
You don’t argue for the validity of the models. You admit they’re often worthless:
“There was no choice but to give our best assessment, which we knew would be wrong and which we knew would offer no lessons for the future.”
Is your only point with all these comments that there’s a binary choice in this scenario, either model or get a time machine?
Is that all you’re saying?
Pretty much, because you don’t get to design a good data capture for a model design. You end up trying to re-purpose death certificates which have a legal/regulatory background which can not be changed. You would need to have been setup for the whole thing a lot better with testing and your own data recording.
Go forward a couple of years and you might be able to look historically back at the data and possibly make more sense of it. That is the nature of history everyone gets to write there version of it.
So those who had the emergency powers lever had to make a judgement call on what they were being told. Some went early, some went late and perhaps some should never have gone at all. Those powers have no reviews which is really the problem that needs looking at. However anti-lockdown people can’t seem to control there anger long enough to stop beating up the public who doesn’t agree with them and deal with the real issue.
So I guess I am like Mosher you just try to make out what you can from the data and laugh at the politicians and those triggered by events outside their or my control.
We are not going to “engineer” our way out of this disaster.
You’re thinking like the faceless technocrats/scientists who think in numbers and models they’re not sure about.
Joe Blow doesn’t.
There will be no second lockdown, and absent a meaningful vaccine, the chips will fall where the may – people will chose getting their pay check back over being safe.
They are not safe anyway unless we magically figure out how to produce everything we need from inside our houses. Sort of like powering the world with unicorns farts instead of fossil fuels or nuclear.
I don’t think it is sinking in: Death certification is a mess, as I’m reading about it. And this mess is even messier with COVID-19, thereby making all the numbers being talked about highly questionable and unfit to guide policies that shut down the entire world.
Take a look at these:
https://jcp.bmj.com/content/jclinpath/55/4/275.full.pdf
https://jcp.bmj.com/content/jclinpath/55/7/499.full.pdf
https://link.springer.com/article/10.1007/BF01600228
https://www.ncbi.nlm.nih.gov/pmc/articles/PMC4808686/
https://www.ozy.com/news-and-politics/a-whopping-1-in-3-death-certificates-list-wrong-cause-of-death/89516/
I am wondering whether the situation has improved, since the years these studies were done.
Somebody needs to be looking into this in depth.
https://jcp.bmj.com/content/jclinpath/55/4/275.full.pdf
2002. ho hum
https://jcp.bmj.com/content/jclinpath/55/7/499.full.pdf
2002
https://link.springer.com/article/10.1007/BF01600228
https://www.ncbi.nlm.nih.gov/pmc/articles/PMC4808686/
1991
You might want to read a more current paper
https://journals.sagepub.com/doi/full/10.1177/0033354917736514?journalCode=phrg
and pay attention to the TYPES OF ERRORS
“ho hum”, eh?
Well, let’s look at the “results” statement from the “ho hum 2002” paper:
Only 55% of certificates were completed to a minimally accepted standard, and many of these failed to provide relevant information to allow adequate ICD-10 coding. Nearly 10% were completed to a poor standard, being illogical or inappropriately completed.
Now let’s look at what the reference you suggested that I “might want to read” says:
https://journals.sagepub.com/doi/full/10.1177/0033354917736514?journalCode=phrg
Of 601 original death certificates, 319 (53%) had errors; 305 (51%) had major errors; and 59 (10%) had minor errors.
Does this suggest that much has changed betweem the “ho hum” year and the year of the “more current paper”?
And more from YOUR suggested paper:
In New York City, inaccurate cause of death on certificates led to inaccurate health disparity tracking. One study of death certificates in 2008 revealed that the disparity in premature heart disease between white and black people in New York City was underestimated because hospitals that incorrectly overreported premature heart disease served larger proportions of white people than black people. In a study by Yin et al, misclassification of colon and rectal cancer deaths on death certificates affected estimated survival rates. The study compared cancer site data from the California Cancer Registry with cause of death on death certificates between 1993 and 1995 and found misclassification in 700 of 11 404 (6%) colon cancer deaths and 1958 of 5011 (39%) rectal cancer deaths, of which 1605 of 1958 (82%) were misclassified as colon cancer. When deaths were reclassified correctly, the cause-specific survival rate for colon and rectal cancer decreased.
I gather that you fail to see a parallel between errors made with respect to heart disease paired with race and COVID-19 deaths paired with age. You apparently fail to see the likelihood that errors can extend across all causes. Just because the article speaks of causes other than COVID-19, you think apparently that this is reason to ignore the distinct possibility of errors being made at an unacceptable level across all these causes. Why would you imply that COVID-19 magically escapes the sorts of errors that exist with other causes?
I had already found this study, before you linked to it, so, sorry, no gotcha-with-a-more-recent-paper moment for you there. This “more recent paper”, seems to echo the exact tenor of the older papers, thus, showing that little seems to have changed.
So, what’s your point? — I do not see that you have really made one. In fact, you clarify precisely MY point.
Interesting approach to spotting outbreaks
https://www.the-sun.com/news/759008/coronavirus-map-22-hotspots-cases-explode-eight-states-lockdowns/
This is AKIN to the syndromic test network in the USA,
https://www.cdc.gov/nssp/overview.html
folks can help in a small way
try this
https://www.covidnearyou.org/#!/