by Frank Bosse
Probably not, in spite of the recent headlines.
A recent article in Nature Abyssal ocean overturning slowdown and warming driven by Antarctic meltwater by England et al. (hereafter E23) caused quite a stir in the media. The BBC wrote:Antarctic Ocean currents heading for collapse – report.
E23 built a model to describe the formation and behavior of abyssal water masses around Antarctica. The Antarctic abyssal waters are important due to its impact on the overturning circulation (AOC) – the lower cell of the Meridional Overturning Curculation (MOC) – which overturns heat, freshwater, oxygen, carbon and nutrients in the abyssal ocean. The AOC directly influences warming and the availability of nutrients to support marine life near the surface of the ocean.
Here is a schematic of the global MOC:
Fig.1.: The global MOC, a reproduction of Fig.1 of Marshall / Speer (2012). The Antarctic Bottom Water (AABW) is shown on the left side in descending blue arrows.
E23 concludes:
“In particular, a net slowdown of the abyssal ocean overturning circulation of just over 40% is projected to occur by 205”
According to E23, this would also have some impact on the Atlantic Meridional Overturning Circulation (AMOC), which is responsible for the vast majority of the northward heat transport on earth:
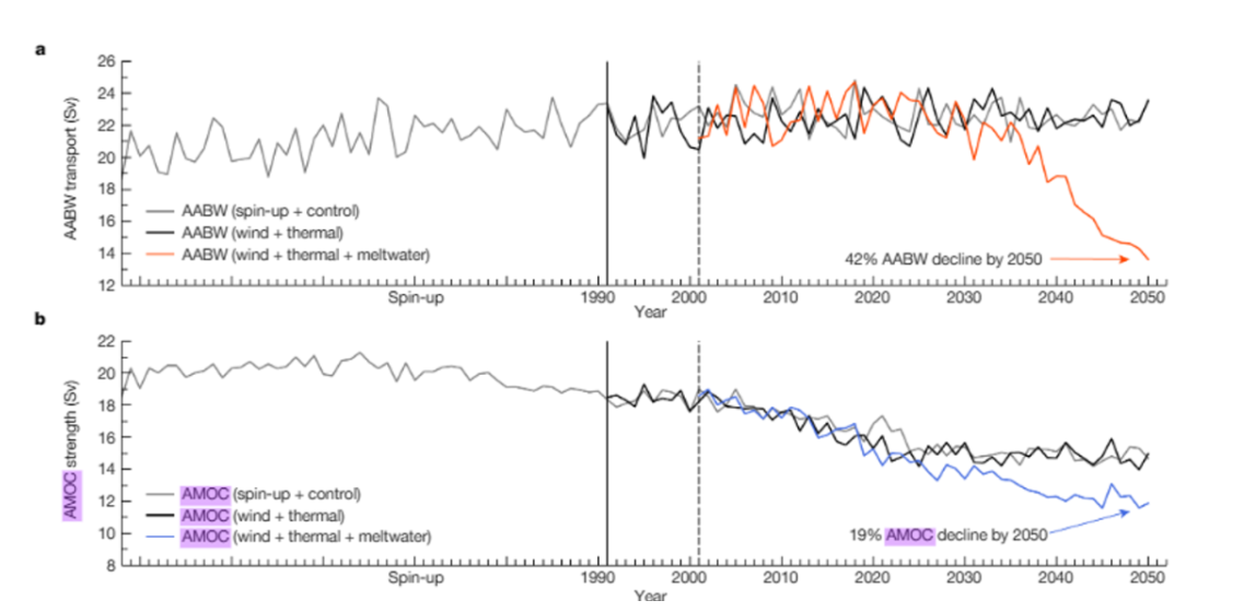
“As the meltwater release from Greenland and Antarctica increases over time, the AABW overturning and AMOC strength both weaken by 2050.” (AMOC by 19% shows Fig. 2).
The cause is the additional meltwater from the Antarctic ice shelves, which has a widespread impact on the Antarctic Bottom Water (AABW):
“First, the projected addition of Antarctic meltwater causes an anomalous freshening . . . which produces fresher and less dense AABW, and eventually reduced AABW volume, after the 2030s.”
The key figure of E23:
Fig.2: A reproduction of Fig. 3a, b in E23. The Antarctic melting will lead to a reduction under the influence of the anthropogenic forcing (aka “Climate Crisis”) of the AABW of 42% (a) in 2050, shown in red. In black: without this forcing.
In Fig. 2 (b) the AMOC shows a robust downward trend over 2004-2020; this is not the case in the observations of “Rapid” at 26.5N; there is much internal variability, with a dip in 2010 and thereafter a slightly recovery.
Figure: Observations of the AMOC 2004 to 2020 of “Rapid” at 26,5°N: Source.
Let’s now have a look how the authors calculated the melting up to 2050, which is a crucial input of the described model for the AABW. From the Methods section of E23:
“…and the multi-model ensemble mean of CMIP6 models under a high- anthropogenic-emissions scenario, Shared Socioeconomic Pathway 5-8.5 (SSP5-8.5), for the future climate component from 2020 until 2050.”
In a twitter thread the lead author stated (and provided a “SharedIt” link to read the full paper, thanks for this):
“…our projections were run under a ‘business as usual’ scenario. Deep and urgent emissions reductions will give us a chance of avoiding an ocean overturning collapse.”
Is SSP5-8.5 (or RCP 8.5 in IPCC AR5) “Business as usual”? Not so, stated this comment, also in “Nature”:
“Stop using the worst-case scenario for climate warming as the most likely outcome”.
Its projections of future greenhouse gas emissions are generally acknowledged to be unrealistic even on pessimistic assumptions.
Furthermore: is the Multi -Model Ensemble mean (MME) of the CMIP6-models appropriate for this approach? No, the MME mean is skewed high owing to a high climate sensitivity due to some models running much too hot. Gavin Schmidt:
“The default behavior in the community has to move away from considering the raw model ensemble mean as meaningful.”
This leads to an urgent need of a discussion of the choice of SPS5-8.5 and the CMIP6 ensemble mean in E23. Unfortunately the paper doesn’t do this, so I will do it in this blog post.
What effect does the choice of the projected temperatures in the Antarctic for 2020 to 2050 have, which in turn influences the expected melting?
With the help of the KNMI Climate explorer I investigated the expected trends, first for the settings used in E23:
Fig.3: The linear temperature trends in and around Antarctica for SPS5-8.5 and the MMM of the CMIP6’s, as it was estimated in E23.
In comparison, the not-so-skewed CMIP5’s MME mean for the more likely RCP4.5 scenario:
Fig.4: The linear temperature trends for RCP4.5 in and around Antarctica.
Note that the trend slopes in the crucial melting areas of the western Antarctic (including the Ross Sea and the Weddell Sea) are nearly 50% steeper in the Fig. 3 than in Fig. 4. This results in a warming in this area from 2020 to 2050 of 0.6 K (Fig.4) based on RCP 4.5 and the CMIP5 MME mean; in Fig. 3 it results in 1.3 K based on SSP5-8.5 and the CMIP6 MME mean.
However, these are climate model simulation results. Let’s compare the spatially resolved linear trends of grid cells for the area 60°S to 90°S in the time span 1990 to 2021, virtually the same length as the 30 years long time span 2020 to 2050 in E23 for the observations (GISS) and the “not so hot case” of Fig.4:
Fig.5: The spatial trend slopes of the gridded data for the CMIP5 models with the scenario RCP 4.5 (left) and observations, GISS (right) for the time span 1990-2021 (“Hindcast”)
Not only do the simulations warm far too quickly in Antarctica and its environs over the last 30 years,
but the modeled warming is poorly correlated with observed warming in most grid cells (Fig.5)
In wide and crucial areas for the forming of the AABW especially on the coastlines (with the exception of the Ross Sea on the bottom) the observed and modelled trends are quite different – in the observations the trends are near zero.
The more realistic scenario CMIP5 RCP4.5 shows a twice as fast warming in the Antarctic (60°S-90°S) as the observations, and the CMIP 6-SSP5-8.5 mean scenario shows an almost 3 times faster warming in the “hindcast” period 1990 to 2021 despite the fact that there is relatively little difference in greenhouse gas emissions and changes in other drivers of climate change between the SSP5-8.5 and RCP4.5 scenarios and observations during that period.
In the light uncertainty of the spatial resolved trends in the observations, I use the relation of the trends of the entire Antarctic region, estimating that the warming bias in models will persist to 2050. This would lead to an additional warming of only 0.3K for 2020 to 2050 in the Western Arctic, 23% of the estimation in E23.
Conclusion
Neither the sole warming scenario nor the multi model CMIP6 ensemble mean used by E23 to estimate the melting in Antarctica up to 2050 is appropriate. The resulting MME mean heavily overestimates the likely surface warming and hence the melting, making it “not meaningful” (see Gavin Schmidt’s citation) as input for the AABW-model used in E23.
For the crucial regions, the trend slopes 1990 to 2021 in the observations are only about one third of the simulations used by E23. Moreover, projected future greenhouse gas emissions and levels are unrealistically high in SSP5-8.5 scenario used by E23. This suggests that future surface warming in and around Antarctica is likely to be far lower than E23 assumes, which in turn means ice melting and hence the slowing of the abyssal ocean overturning would be much less than E23 projects.
E23 moreover concluded that the ocean freshening due to melting near parts of the western Antarctic (namely Ross Sea and Weddell Sea) will lead to the described reduction of the AABW within 30 years to 2050. I had a look at the observational “Argo” data, provided by the “Marine Atlas”. Until December 2021 there is no trend in the salinity data, here shown for the average 0-2000 m depth in the Weddell Sea:
Fig. 6: “Argo” observations of the ocean salinity near the Weddell Sea. In the area of the Ross Sea, there is also no trend (not shown) . The figure was generated with the “Marine Atlas”.
The problems with this paper are: reliance on the implausible SSP5-8.5 emissions scenario, use of the CMIP6 multi-model ensemble mean which is running too hot, and failure to critically evaluate the model simulations using recent observations. Further failures by Nature’s review and editorial process, combined with uncritical and amplified media promotion, have unnecessarily confused the science and public.
Acknowledgement: I thank Nic Lewis for very helpful comments on earlier draft versions.







What a waste of time and money. Surely England et al have been following the widespread opinions about SSP5 8.5? And use it? Silly old me gets up earth.nullschool.net and dots the cursor all round the edge of Antarctica at various times of year and finds it’s always very cold while the middle is seriously so. I’m not worried.
Using RCP8.5 is panic porn.
Consider this statement
Despite this fact the far North Atlantic bottom water is observed as the predominant source of bottom water in all the world’s oceans and the reason is that its salinity overwhelms the warmth of water being carried north at the surface.
On the Antarctic coast there is melting during parts of the year that freshens surface waters, but there is growth of seaice during most of the year and salts are expelled from growing ice especially if the growth is slow. I wonder if an inadequate consideration of this is an explanation for Figure 6 where there is no trend despite the concerns about rising temperature and meltwater.
A) Maybe during brief calm periods.
I’ve been at sea when thunderstorms hit. The water ain’t pretty and many of the waves are towering.
One hand always holds a railing on a boat, One does not let go of the boat when weather is rough. Holding onto the railing helps one keep his feet planted firmly on the deck when the boat crests a wave and falls into a trough. Falling without holding tight to the boat in rough weather is somewhat unnerving.
Winter storms at both poles are well known for their violence. Rough waters, 12 foot (3.7 meters) to 24 foot (7.3 meter) waves mixes a lot of water quickly. Ocean waters frequently have more violent waves.
Any freshwater ice melt will be a thin layer after a run of sunny calm days where temperatures might rise a few degrees Celsius above 0°C.
After the storms pass through, there will be very little freshwater melt and strictly surficial layer.
1) The inputs are extreme climate model fantasized outputs, feeding a biased personally programmed current model .
2) When I was taught how the ocean currents operate, the very cold Continent Antarctica melted very little and salty ocean quickly lost it’s heat to very cold winds.
That cold water sinks and as it sinks it drives the whole abyssal current like a hydrological pneumatic Hadley Circulation.
3) Falling water is subject to gravity and will fall at increasing speed within the medium (water).
4) Earth rotation imparts a lot of impulse towards ocean currents.
” …… failure to critically evaluate the model simulations using recent observations.”
Why on earth would they do that, it would just negate all their deductions and prove them wrong and we couldn’t have that, could we?
Do I need Sarc.?
Yes.
There is Science. And then there is climate science…..which is Politics, not Science.
As Carl Wunsch said the AMOC is “safe if wind blows and Earth turns.”
The importance of high latitude deep water formation is hugely overblown. Even if it stopped completely (zero chance), the AMOC will continue. Ocean circulation is essentially wind-driven. The gyres are wind-driven and even the AMOC is in a great part wind-driven.
The more alarmistic predictions the more people will distrust the scaremongers.
Sorry, Carl Wusch wrote about the Gulf Stream, not the AMOC. In some media there is some confusion, it’s not the same! The Gulf Stream is (Trade) wind driven, the AMOC is thermohaline driven. The Gulf stream is indeed unstopable, the AMOC is.
Thanks for your interest on this article.
So how do you distinguish between both? They are just different names for the same phenomenon, a western boundary current that drives heat poleward.
Ocean heat transport is greatly misunderstood, not only by the public but also by most climate scientists. The thermohaline term is incorrect, as the temperature field and the salinity field do not coincide, as Carl Wusch noticed:
Wunsch, C., 2002. What is the thermohaline circulation?. Science, 298(5596), pp.1179-1181.
Despite being a thousand times smaller, ocean heat circulation is driven by kinetic energy, not thermal energy.
Thermodynamics helps to explain it. If you place the heat source and the heat sink at the same surface you are not able to extract work.
And the AMOC responds as much to wind as it does to high-latitude deep-water formation.
Boccaletti, G., Ferrari, R., Adcroft, A., Ferreira, D. and Marshall, J., 2005. The vertical structure of ocean heat transport. Geophysical Research Letters, 32(10).
You are welcome.
FYI: “The main element in the SHALLOW layers of the upper cell of the AMOC is the Gulf Stream”, see https://agupubs.onlinelibrary.wiley.com/doi/full/10.1029/2022GL102244
The (fast and narrow) GS ist terminated in the Newfoundland region. The northward heat transport thereafter is realised by the (much slower and wider) North Atlantic Current. It’s driven by sink processes mostly East of Greenland. This sinking is stoppable due to it’s thermohaline origin.
best Frank
“E23 built a model”
Stop right there. They built a video game and played it until they ran out of pizza and Bud Light*. Then they published the results.
So what? Who cares? The currents of the world oceans are driven by the tilt of the spherical Earth on its axis which ensures that most solar energy falls on the tropics and its regular and fast rotation which creates the Coriolis.
Ignore that man behind the curtain.
*wink, wink.
AMOC is only going to stop or change if:
These people need help
Amazing. Take ONE LOOK at the first graphic (showing past-plus-projections) in the article. What do I see? A nearly flat, essentially line-with-random-variation for all years including the present 2023, going backward for decades. Flat. Completely flat.
Now reflect for just a minute on the sage projections made for 2020-2025 from the climate doomsters, say in Y-2000. By now, we were supposed to be stewing in cauldron Earth. Death, mayhem, social breakdown, crop failures, famines, pestilence, diseases, pandemics, all the rest.
Well, that part didn’t really happen, did it? (minus the pandemic, which had no anthropogenic global warming source at all).
Thing is, neither did the downward orange line for the period. It has remained almost unchanged in the last 20, 40, 60+ years. Even in the last 10. Nothing to see.
SO we’re supposed to now lose our sh*t over the projected orange line, showing a completely believable linear downward trend for the next 20 years? Really? I don’t think so!!!
Truth is, that the projection is full of beans. It expects that suddenly the enormous ice covering of Antarctica will decide to start melting like crazy. And it expects the same for Greenland. And it expects that only and exactly if Humanity squeezes off all CO2 generation, today, now, that somehow that’ll mitigate the dire projection.
Humanity is a consumer of 7 billion mouths. It has found that energy is critical for its remarkable sustained prosperity. The idea that sun-and-wind (and hydro) could supply enough energy for humanity to exist … even today, let alone the future … to anywhere near the level of prosperity it now enjoys is laughable.
We don’t have the tech. And there’s a whole lot of evidence that we may well never get the tech.
But no matter: like the unstoppable illicit drug economy, the consumers of petrochemical energy will not be thwarted in their demand to keep the stuff flowing. And, also like the drug trade, the suppliers, the refiners, the transporters and the financiers of the energy trade … have every incentive to keep it flowing, seamlessly, frictionlessly, for as long as the supplies last and the consumers demand the product. Literally, something like 20% of the world GDP is involved with the energy sector, and the derivative economy even more so.
GoatGuy
ARGO doesn’t show what their E23 model says is happening. Full stop.
Similarly,
-UAH tropical troposphere doesn’t show the modeled hotspot.
-dGPS vertical land motion corrected tide gauges don’t show modeled sea level rise acceleration.
-Arctic summer sea ice did not disappear as modeled.
Maybe there is a big problem with the models?
“”The more realistic scenario””
Really? According to who?
When your model is built to support a headline storyboard, it’s a problem to begin with.
O/T
Had to laugh at Biden’s ‘Black and Tan’ faux pas
How embarrassing
It probably wasn’t a faux pas, but rather, intentional.
Every time I read or hear about some doom prediction from projected modest warming (~2 degrees give or take), I always have to wonder, why didn’t the world end and why were there no mass extinctions during the Eemian interglacial (roughly 2C warmer than today)?
This is the only part that matters. The models are WRONG and comparing predictions with measurements confirms that.
Antarctic has been cooling for a long time and will continue to cool for at least the next 8,000 years because the peak December sunlight over Antarctica is dropping.
December sunlight South Pole (0.000 is J2000):
-10.000 527.764913
-9.000 532.006805
-8.000 536.339229
-7.000 540.281574
-6.000 543.259397
-5.000 544.799833
-4.000 544.629516
-3.000 542.428064
-2.000 538.475077
-1.000 533.113511
0.000 526.802878
1.000 520.149173
2.000 513.706217
3.000 507.741394
4.000 502.676344
5.000 498.643917
6.000 495.718147
7.000 494.032955
8.000 493.589911
9.000 494.233099
10.000 495.994749
The “abyssal ocean overturning” paper has nothing to do with the real world. Its conclusions are fiction. It’s not science or anything close to it. Did they do field work to measure temperature changes and ocean circulation to validate their hypothesis? Did they use any observational data to identify trends that would inspire their hypothesis? No, they did not.
They simply gazed into their crystal computer, tweaked its inputs based on ridiculous assumptions about warming, and assumed the output is reality with no verification whatsoever. And for the record, Qian Li, Matthew England, Andrew Hogg, Stephen Rintoul, and Adele Morrison, RCP8.5 is not “business as usual” as even the IPCC has noted for many years. In fact observations (you know, measuring the real world) firmly support RCP2.6 as business as usual, though the CMIP models are also not to be taken as anything more than an interesting virtual world because they rely on unproven assumptions about the correlation between atmospheric CO2 and warming. Nevertheless, if you’re going to use a Representative Concentration Pathway that most closely matches observational evidence, it’s RCP2.6.
But they got their paper noticed by the frenzied climate doomsayers in the media. So mission accomplished.
It seems that I was reading and hearing about this same thing about 20 years ago and it was already supposed to have happened long ago. Just more recycling of the same old alarmist BS.
I imagine it’s mainly ‘climate scientists’ who go to Antarctica for research purposes. Don’t get me wrong I’m sure there’s a few glaciologists and related fields but fundamentally I’m thinking these stations are there mainly to study the climate. Hence the proportion of climate scientists amongst the population in Antarctica must be extremely high.
Well turns out they’re more than just a bit rapey. Seems that sexual assaults and stalking are commonplace. There’s some disturbing stuff in the report following.
https://www.nsf.gov/geo/opp/documents/USAP%20SAHPR%20Report.pdf
So does this settle the science on whether ‘climate scientists’ can be trusted?