This post is a result of an online conversation with Dr. Leif Svalgaard, a research physicist at Stanford University. Leif knows a great deal about the Sun and solar variability and can explain it clearly. Our disagreement is over whether long-term solar variations could be large enough to affect Earth’s climate more than changes due to humans – or not. Thus, we are arguing about the relative magnitudes of two sources of radiative forcing (RF) that are not known accurately. The IPCC estimates that the total RF, due to humans, since 1750, is 2.3 W/m2 (IPCC, 2013, p. 696). This number is unverifiable and likely exaggerated, but we can accept it for the sake of this argument.
I’ve written on this topic before here. This post is an update and will not cover the same ground. Some readers will want to read the first post before this one.
The question becomes, could the Sun change enough to deliver more than half of 2.3 W/m2, or 1.15 W/m2, of power to Earth’s surface since 1750? The IPCC and Svalgaard believe that, since 1750, the change in solar output nets to zero, or close to it:
“The point is that solar activity has had no measurable effect on climate over the past several centuries.” Dr. Svalgaard, July 7, 2021.
Svalgaard then suggests I read an article by Mike Lockwood and William Ball in Proceedings A of the Royal Society (Lockwood & Ball, 2020). The article is an excellent overview of the debate over long-term changes in solar RF on Earth. Because Earth is a rotating sphere and half of it is in darkness, a change of one W/m2 in solar output only causes a 0.25 W/m2 change in solar RF at the top of the atmosphere. Thus, to achieve the aforementioned 1.15 W/m2 change in RF at the surface, taking Earth’s likely albedo into account, the Sun’s output needs to increase 6 W/m2 since 1750. To account for all the warming, since 1750, it must increase 12 W/m2, a 0.9% increase in solar output.
Most writers only consider “TSI” or Total Solar Irradiance, when they consider solar RF delivered to Earth, but the Sun varies in other ways that influence our climate independently of the Sun’s direct total radiation output. For example, the Sun’s UV (ultraviolet) radiation varies more than the total and the Sun’s magnetic field strength varies significantly at Earth’s orbit, as well as the power of the so-called “solar wind” of charged particles (Haigh, 2011). TSI variation is not the only way the Sun can influence our climate, but it is something we can measure. Unfortunately, some scientists often only focus on those things they can measure and consider unmeasurable quantities to be “insignificant,” whether they are or not. We will limit this post to TSI variability but be aware it is only part of the story.
Large scale changes in solar output are determined by changes in the solar magnetic field and these changes are understood reasonably well. Svalgaard often points this out and I have no problem with his reasoning along these lines. Less well understood are the contributions to solar variability made by the quiet regions of the Sun. The quiet regions, or “Q regions,” are the featureless portions of the solar surface or photosphere. These are areas without sunspots or other visible magnetic features. As Lockwood and Ball remind us, there are little data on variations in the quiet solar regions.
TSI is a blunt instrument, it is the total electromagnetic power, integrated over all wavelengths, that reaches the average Earth orbit. Most of this power is generated in Q regions in flux tubes too small for us to detect, but very important because they are so numerous. Sunspots are much larger flux tubes, as are the bright faculae that surround them, so large we can easily see them. Thus, what Svalgaard and many other astrophysicists believe, is that by keeping track of the larger sunspots and sunspot-related features in the Sun’s photosphere, they can detect all significant solar variability. The reasoning is, we cannot measure any changes in the Q region, so they must be insignificant.
As already mentioned, for the Sun to be the dominant (that is >50%) cause of recent warming, the Sun would have to increase its output about 6 W/m2 since 1750, or 0.02 W/m2/yr on average. The IPCC and Svalgaard prefer the PMOD TSI composite, but there are other TSI composites, see here for a discussion. Lockwood provides an interesting plot of satellite measurements of TSI and alternative composites versus the PMOD TSI model composite.
His plot is shown in Figure 1. The yellow dots (CCv01) are the community composite, which is very similar to PMOD. The mauve circles are the RMIB composite. The RMIB (also abbreviated IRMB) composite is plotted in our earlier post.

Figure 1. A comparison of various satellite TSI measurements and two other TSI composites to the PMOD TSI model. Source: (Lockwood & Ball, 2020). All points are means over Carrington solar rotation periods, roughly 27 days. The lines show the trends versus the PMOD trend. The trends vary from 0.0261 W/m2/yr to -0.0255 W/m2/yr for a total difference of 0.052 W/m2/yr.
The Sun is complex, and it is not solid, thus the rate of solar rotation varies by latitude, it rotates faster at the equator and slower near the poles. The Solar rotation rate is usually given as ~27.3 days, which is called the Carrington rotation, often abbreviated as “CR.” In Figure 1, TSI satellite measurements are plotted as CR averages, and differences from the PMOD model composite are shown, as well as the trend of the differences. Six satellite instruments are plotted and the difference in rate from the lowest trend (ACRIM-3) to the highest trend (TIM) is 0.052 W/m2/year. All these measurements and composites are peer-reviewed and reasonable; thus, the different trends can be considered an estimate of TSI uncertainty. We cannot measure the long-term change in total solar output accurately enough to preclude the necessary change of 0.02 W/m2/yr.
A difference of 0.052 W/m2/year is a change of 13.6 W/m2 since 1750. This is more than the total anthropogenic change in forcing (12 W/m2) computed by the IPCC since the beginning of the industrialized era. The readers of our earlier post will know that using NOAA’s estimates of the error in our solar output measurements result in uncertainties as high as 34 to 47 W/m2 since 1750. We simply do not know enough about the long-term variability of the Sun to preclude it as a cause of current warming.
Various recent reconstructions of TSI to 1600 AD are shown in Figure 2, also from Lockwood and Ball.

Figure 2. Four recent TSI reconstructions. The two invariant reconstructions (SATIRE and NRLTSI) are based on active portions of the Sun only, that is sunspots and related features. The more active reconstructions (EEA and SEA) attempt to incorporate Q region variability. Source: (Lockwood & Ball, 2020)
Figure 2 shows a range of recent TSI reconstructions. The SATIRE (Wu, Krivova, Solanki, & Usoskin, 2018) and NRLTSI (Coddington, et al., 2019) reconstructions are suspiciously flat during the period of the Maunder Minimum (1645-1715) when there were very few sunspots and temperatures on Earth were very cold. This was the coldest period of the Little Ice Age, as described by Wolfgang Behringer (Behringer, 2010) and here. Behringer reports that during this period the canals of Venice froze, and heavy goods could be transported across them in wagons. Due to the cold, the related malnutrition, and epidemics, the worst mortality crisis in European history occurred in the early 1600s. Witches and Jews were blamed for the cold and thousands were executed, often they were burned alive. The killings reached their peak in the early 1600s. Behringer comments that the belief that witches and Jews caused the global cooling, was the medieval equivalent of “Anthropogenic Climate Change,” see figure 4 in this earlier post.
Records of similar crises exist for China, Indonesia, Thailand, and the Philippines. Glaciers advanced around the world at this time, and according to Bray’s classic 1968 paper, more worldwide maximum glacial advances occurred from 1587 to 1798 than in any other period he studied (Bray, 1968).
The year 1816 is often known as the “year without a summer” (Behringer, 2010, p. 163). Usually, this is blamed on the eruption of Mt. Tambora in 1815, but it also coincides with a steep decrease in TSI according to both the EEA and SEA reconstructions in Figure 2. Likewise, the well documented steep global warming from 1910 to 1944 is visible on both of these TSI reconstructions. Historical records are not quantitative data, but they are consistent with the more active solar reconstructions, and they occur before fossil fuel CO2 emissions were significant.
The SATIRE and NRLTSI reconstructions assume that the Q region is constant over the period and are based largely on sunspot records. Egorova, et al. [EEA18 or (Egorova, et al., 2018)] and Shapiro, et al. [SEA11 or (Shapiro, et al., 2011)] incorporate estimates of Q region variablity and the result is a range of TSI over the period as shown in Figure 2 of 1354.5 to 1362 (7.5 W/m2). This range is over half the total needed to account for all the warming since 1750, the aforementioned 12 W/m2.
Lockwood, et al., Egorova, et al., and Shapiro, et al. all emphasize that there is no agreed modern TSI composite of the satellite measurements to date, this is illustrated in Figure 1. The intensity of solar radiation in space is so severe it begins affecting the instruments nearly as soon as they are first pointed toward the Sun. As a result, both the magnitude of TSI and its long-term trend is unclear.
We can see the problem. There is no agreed record of satellite era total solar variability. Sunspots are only a record of the variability in the more active portions of the Sun, and the Q region variability has never been observed or measured. Models of the Q region are speculative. This is an important issue because solar variability is an obvious possible cause of recent global warming, and the IPCC wants to claim it is constant. They have no evidence for this, but, on the other hand, the evidence it is more active in the Q region is indirect and weak.
Egorova, et al., 2018, is the most recent paper to present a model of TSI that includes Q region variablity, so we will focus on it. It is notable that A. I. Shapiro, the senior author of Shapiro, et al., 2011, is a co-author of Egorova’s paper. Dr. Egorova works at the Physikalisch-Meteorologisches Observatorium Davos, the home of the PMOD TSI reconstruction. Like all TSI reconstructions, Egorova models the active regions of the Sun with sunspot data, but she models the Q region differently. The problem she, Shapiro, and the other more active Sun reconstruction researchers have, is the Sun is now bright and it has never been observed with modern instruments in a quiet period, like the Maunder Minimum.
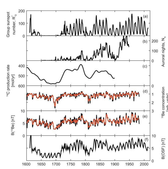
Like Shapiro, et al., Egorova assumes that variations in Q region solar output vary due to the level of solar magnetic activity in the preceding decades. They vary TSI linearly between the current solar maximum and the lowest estimated magnetic activity of the Sun. They use the solar modulation potential, or ф, as a proxy for solar magnetic activity. The solar modulation potential is strongly related to the open solar flux that shields Earth from galactic cosmic rays. Instrumental values of ф are available to 1936 (Usoskin, Bazilevskaya, & Kovaltsov) and can be extended into the past using a 10Be proxy that is sensitive to the number of galactic cosmic rays that strike Earth. More on 10Be and the Sun can be seen here.
Conclusions
None of the TSI reconstructions plotted in Figure 2 are well supported. The more active regions of the Sun can be modeled using sunspot records reasonably accurately, but this ignores most of the Sun. Our measurements of TSI, from satellites, conflict with one another and all instrumental TSI composites are in doubt due to instrument problems and the dubious “daisy-chain” composites.
We are currently in a solar maximum and have no measurements of the Sun in a solar minimum, so all reconstructions of the Sun in a solar minimum are speculative extrapolations. The SATIRE and NRLTSI reconstructions dodge this issue by assuming that the Q region of the Sun is constant and never changes. Thus, they have a very unrealistic flat spot during the historically well documented Maunder Minimum. Egorova and Shapiro try to extrapolate a value into the Maunder Minimum using proxies to estimate ф. Since ф is correlated closely to the open solar flux, this is reasonable, but still speculative.
Historical data supports the more active reconstructions since they correlate to historical climatic events. The records of glacier advances during the Little Ice Age are also very supportive. Finally, the variability of other Sun-like stars suggests our Sun is much more variable than assumed in the SATIRE and NRLTSI reconstructions as shown in the following figure from Judge, et al. 2020.

Figure 3. The blue is the Shapiro, 2011 reconstruction, rescaled. The two red objects show observed variability in Sun-like stars elsewhere in our galaxy. The rate of change indicated, in red, on the left, is compatible with several stars studied by Judge, et al. and the one on the right is compatible with half of the stars in their study. Source: (Judge, Egeland, & Henry, 2020).
The jury is still out on this issue and will be until we can improve and lengthen our instrumental records of solar activity. This debate, like the debate over climate sensitivity, is the result of inadequate measurements of the critical variables. Measurement error swamps the differences in the two hypotheses.
Download the bibliography here.
The title, “Can we predict long-term solar variability?”
We can’t even figure out the past variability (or none) back 500 years. Not much a chance of the “long term” future at this point.
In the 1990s, solar physicists Penn and Livingston determined that the Sun’s activity would turn down. Their conclusions were based upon studies of internal dynamics.
This was followed by some Russian researchers calling for the same, but based upon cycles.
SC numbers 23 and 24 have been the weakest since the early 1900s.
What is there not to like about getting it right?
Isn’t it weird in the first place to assume that a hot ball of plasma would stay within a variability margin of less than one percent over hundreds of years?
Just meaning…
The sun has a solid core, so adjust your conclusions based on that.
Alan
“The sun has a solid core”
I have seen recently that the core of the sun is made of hydrogen. That hardly seems to be solid to me.
I have not read a lot about what happens when hydrogen gas is compacted into a ball the size of a star (which our sun is). Is it possible that the sun and all stars do not have a magnetic field that we can measure here on earth. If so maybe the theories are totally haywire.
I propose that the sun is a crystal ball so dense that there is only gravity which influences our solar system.
I bring this up because of observations we can see in the satellite pictures and movies produced for our use. The magnetic field of the sun appears to be the corona and nothing more.
Lee
Under high pressure and low temperatures Hydrogen is metallic solid as in outer solar system planets cores of J, S,U & N. Under high pressure and high temperatures temperatures it is metallic liquid, but at about 3000 K atomic structure breaks down, i.e. protons and electrons separate into independent entities of plasma layers, hence in the strict sense it is not hydrogen gas any longer. . Both states are highly conductive for electric currents, hence strong magnetic fields in the above. See attached P–T (pressure-temperature) phase diagram of H2
or alternative P-T phase diagram
Alan, the Sun’s core is not solid, liquid or gas; it is composed of plasma. It is quite dense, but not solid. Its temperature is ~27 million degrees.
My understanding is that the sun’s core is a plasma.
My thoughts exactly
https://wattsupwiththat.com/2021/07/23/can-we-predict-long-term-solar-variability/#comment-3299073
There is no question we have natural variability in climate metrics that can overwhelm even the purposely fudged temperature record, e.g. the post 1945 – 1980 deep cooling period (now largely fudged out of existence), the 18+year Dreaded Pause that was the same length as the end of the 20thC warming period that was the source of the hysteria of Catastrophic Anthropo Global Warming and a six year troubling cooling period heading for 7 years that would unravel the whole meme if it meets back up with the Dreaded Pause level.
Giving the sun no place in all this is not a good bet.
Personally, IMO and based on my studies and research over the years it would be fair to say we don’t really know. If anyone says they know, you know they don’t know.
I know (that we really don’t know). However, a lot of this is because of government funding of those individuals and institutions whose overriding interest is in keeping that grant money coming, and keeping the dumb politicians happy.
I am really surprised. I thought I would get many down votes to my post. Thanks to those 16.
Sun is not an isolated island, it is a central part of a system (primary school stuff) wrapped up in a magnetic bubble forced upon it by our galaxy. Each of these components has to be brought into consideration, else it is a bit like predicting person’s behaviour looking at the brain scan ignoring everything else.
Vuk Why do you constantly neglect the importance of electricity (electron in motion) It’s not a magnetic bubble it’s a electromagnetic bubble. Electricity then magnetism. Space isn’t empty, it’s full of electrons at rest (potential energy or dark energy take your pick ) Its the medium that holds all mater together and the reason all stars and planets are roundish and not flat. If you stand way back and look at the sun as a particle how big is the electron cloud holding it together???
Not the reason the bodies are round. Corners on any thing will in time disintegrate, large planetary bodies by gravity and limited strength of materials. Soluble cubes round as they dissolve, angular cobbles, pebbles and boulders in a stream round by impact and abrasion. Large rectangular blocks of stone round in the moist atmosphere by hydrolysis of its minerals, with corners under the severest attack and assisted by carbonic acid in rain (see above on dissolution)
Northern Nigeria granite icebergs
https://m.imgur.com/rdKQT
AGW proponents like to dismiss the amount of variance in TSI over the course of a sunspot cycle as a tiny or insignificant percentage. They don’t want people to think about how that “tiny” percentage is a very large amount of change in the amount of solar output hitting Earth, due to the extremely mind bogglingly massive amount of energy thrown out by the Sun. Compare an F-1 Saturn V engine’s 32 million horsepower rocket engine engine vs an ordinary 110 horsepower street vehicle engine. 0.05% of 32 million is 16,000. The same percentage of 110 horsepower is just 0.055.
Just ignore that super massive number and focus on the wee little 0.05%. Nevermind that enough energy from the Sun hits Earth *every second* to power multiple Katrina sized hurricanes.
The claim is that we do not know the variation of the Sun’s magnetic field over the past three centuries. Graphs [e.g. Figure 2 of this post] showing a definite variation of TSI based on the unknown [and unobserved] variation of the ‘quiet’ sun are put forward as ‘evidence’ for a strong sun-climate relationship even as it is also claimed that TSI is not all the drives the climate variation. We have three ways of measuring the long-term variation of the sun’s magnetic field:
These three measures agree so we <b>do</b> know the variation over the past several centuries. As TSI has been found to depend strongly on the Sun’s magnetic field we have good reason to believe that TSI is similarly constrained and thus known.
Given what that first graph is showing would you expect SC 25 and SC26 to be below average cycles? Nice compilation, thanks for sharing.
We can say nothing about SC 26, but SC 25 will be a bit larger than SC 24:
https://svalgaard.leif.org/research/How-to-Predict-Solar-Cycle-25.pdf
I can say something about SC26. According to the cyclical model SC26 should be between SC24 and SC22, and somewhat similar to SC23.

I think both of you are by far too optimistic, SC25 will be about 30-40% down on the SC24, a bit higher or on the par with the 5 or 6 sunspot cycles.
Doesn’t look that way so far. It is too early but SC25 is slightly above SC24 in activity. No way 30-40% below.
http://www.solen.info/solar/images/comparison_recent_cycles.png
Doesn’t mean anything, look at your graph again and compare at the same time point SC23 and SC21. Don’t forget I got SC24 within a decimal point
🙂 🙂 🙂
That was 10 years ahead of the time, long before the end of the SC23, while even years later NASA (Dr. D. H.) said that the SC24 is going to be strongest ever.
http://www.vukcevic.co.uk/SSN.htm
Congratulations on getting SC24 right, I already knew that from comments over the past years.
Where we disagree is in the position of the lows. To me your cycle is too wide, with lows around 1800, 1910, 2030. The lows of my cycle take place around 1810, 1912, 2014.This makes your prediction for SC25 quite lower than mine.
To determine the lows and highs of my cycle I take into account the effect on solar activity of 5 different solar cycles.
We should see who has it more correct in 2-3 years.
What made me ask that question is by looking at how the weaker solar cycles seem to come in strings of 3 ie: SC 5, 6, and 7; and SC12, 13, and 14. The beginning of the chart also shows SC E and D as weak, and of course prior to that was the MM.
Hi Doc, nice to hear from you again, hopefully you are well and still going strong.
The first paragraph of the Dr. Svalgaard’s graph states:
“Graham (1724) discovered that the angle between the horizontal component of the geomagnetic field and true north, varied through the day …. .” You can read more in his paper https://arxiv.org/ftp/arxiv/papers/1506/1506.04408.pdf
When I found about this effect some years before above paper was published, I had a go at data from ETHZ, then available only to 1990. I found that the horizontal (east) component varied greatly around globe at various latitudes and longitudes, but interesting part was when I came across N. Atlantic area (45-70N and -30 to 10 E) I found that there is a significant correlation with the AMO, the major component in the global temperature variability.
Considering the low intensity of this component it can be concluded:
a) it might be that the AMO (via ocean current circulation) is cause of the above long term geomagnetic variability
or alternatively
b) taking into account Graham’s daily changes, that there is some solar effect (as yet not defined) causing changes that are carried forward in the AMO and from then on into the global temperature variability.
For clarity I graphed geomagnetic changes at 60N with complete sweep around the globe in 10 degree steps around the globe as you can see in the attached graph.
http://www.vukcevic.co.uk/AMO-0.gif
Seems like a plausible link. Would it be possible to up-date the graph to the current time, as it would be interesting to see what happens during very low solar activity?
I think NOAA might have data,I have not looked recently. I have too many graphs that need updating, but considering that it appears there are about 10+ years of delay between rise time of two and may be considerably longer for the decay time, I’m not certain that it might show the effect, and finally it may not show which of the two alternatives (a or b) is correct, assuming that the delayed correlation holds.
Thanks, very interesting graph.
“ I found that the horizontal (east) component varied greatly around globe at various latitudes and longitudes”
It is not the East component that varies with solar activity, but it is the daily variation of the East component that is controlled by EUV. See Slide 14 of
https://svalgaard.leif.org/research/Radio-and-Sunspots.pdf
The variation is rather uniform between 20 and 60 degrees latitude.
The variation is also uniform in longitude, Slide 16 of
https://svalgaard.leif.org/research/Geomagnetic-Indicators-of-Solar-Activity.pdf
Thanks Doc. That makes it even more interesting, therefore I could have said:
Considering that the East geomagnetic component is controlled by EUV on the daily bases, directly related to the sunspot intensity, there might be a long term UV solar originated effect (as yet not defined) causing changes that are carried forward in the AMO and from then on into the global temperature variability.
Long term geomagnetic changes of the East geomagnetic component at 60N around the globe, plotted together with the AMO data can be seen in the graph.
http://www.vukcevic.co.uk/AMO-0.gif
https://www.linkedin.com/pulse/association-between-sunspot-cycles-amo-ulric-lyons/
Lief, given that we know Earth’s magnetic field strength has dropped significantly since the mid 1800s, doesn’t this need to be considered. I am also curious as to what you believe caused the temperature variation seen in the Greenland ice core record.
The conductivity of the air in the ionosphere does depend a bit on the overall field strength: it gets bigger when the field drops. But the effect is too small to be accurately measured.
The main driver of the ice core temperature is the shape of the Earth’s orbit, which is controlled mainly by Jupiter.
Thks Leif. I should have been clearer in my question. I meant to ask about the temperature variation during the Holocene. I find it interesting that current climate models have no good answer to the RWP, Dark ages, MWP, LIA, etc.
Hi Leif,
I agree that we know a great deal about the Sun over the past 300+ years due to the measurements you have listed, sunspot records, 14C records and more. I just don’t think we know the Sun’s variability accurately enough to conclude that its three-century variability is net zero, or even significantly less than +-0.9%.
The excellent work you and others have done helps us get a hint, but the measurements are not accurate enough to preclude a 0.9% variation, in my opinion.
In the figure you attached to your comment, the heliomagnetic field in the solar wind reconstruction varies from a low of 3 in ~1811 to a high of over 9 in ~1990. What does that mean in terms of Earth’s climate or received RF at the surface? We don’t really know. So even the connection between the solar measurements we can make, and our climate are poorly understood.
“but the measurements are not accurate enough to preclude a 0.9% variation, in my opinion.”
Opinion is not important. Data are. And the data show a variation of the order of less than 0.1%.
“What does that mean in terms of Earth’s climate or received RF at the surface? We don’t really know.”
I don’t know what RF means. But since the heliospheric magnetic field [that hits the Earth] is only 1/100000 of the Earth’s field I would not expect any direct effect at the surface.
Leif,
“the data show a variation of the order of less than 0.1%”
While this is true, the data are only accurate to +-0.052 W/m^2/year or +-13.6 W/m^2 since 1750, according to Lockwood and Ball. NOAA puts the error much higher, on the order of +- 34 to 47 W/m^2.
RF=radiative forcing, as defined in the post. My point is the data are not accurate enough to preclude a long-term trend in solar output.
I wrote to you about Be-10 concentrations (an indicator of the solar magnetic field and solar output increasing) measured in ice cores dropping in the last 150 years you dismissed it by referring to a publication that showed Be-10 isn’t well correlated to solar output (at the 20% ish level) in recent years. I then pointed out that you were dismissing a factor of almost 2 with a 20% ish argument. Now you claim that we can make good estimates of the solar magnetic activity from Be-10 and carbon. You’re being disingenuous. Will you finally drop the obfuscation and admit that there IS evidence of a solar change in the last 150 years?
Dr S,
It’s simple math:
‘ The claim is that we do not know the variation of the Sun’s magnetic field over the past three centuries. Graphs [e.g. Figure 2 of this post] ………………:
the [………sity of the EUV. The magnetic effect of these currents at ground-level was discovered in 1722 and has been measured ever since. We therefore know the variation of EUV since that time. ‘
Well 2021 – 1722 = 299
That is 30 million seconds short of the 300 years you claim. Cherry picking your data. Shameful stuff.
R,
JBP
Quote:”IPCC estimates that the total RF, due to humans, since 1750, is 2.3 W/m2”
They don’t say what is doing this forcing nor what temperature it, but, the assumption is that it is Carbon Dioxide.
Quite completely amazing considering that CO2, in the atmosphere, quite effectively and to all intents, does not radiate. Even if it did, its energy will be coming from a cold place which cannot affect anywhere below it.
The Superior Authority on All Things Science, NASA, very effectively tell us all as much via the modus operandus of its OCO2 Sputnik – how it looks for absorbed solar energy, not emitted CO2 energy.
(Makes sense when there isn’t any doncha tink?)
Quote:”TSI is a blunt instrument”
Yes. that may be so. Does anyone anywhere ever apply Wien’s Law to the calculation of heating effect? No matter, too late for that now because the science is settled.
(Is it arguable that things that are = RIP are ‘settled)
Ploughs, cultivators and chainsaws are very sharp instruments
Only the very bluntest of minds could ignore them.
That those minds/brains are sitting atop monstrous blobs of blubber created by the activities of those devices makes this entire Climate Thing ever more surreal.
But because all that Bodily Blubber is leading to a (now quantified) decrease Life Expectancy, maybe folks don’t have the time to notice
I tried to explain to Leif long ago that there is more than raw TSI involved but he just wouldn’t have it.
My conclusion was that changes in the mix of wavelengths and particles can affect the gradient of tropopause height between equator and poles which influences global cloudiness by changing the length of jet stream tracks so as to alter how much energy is absorbed by the oceans.
That proposition still looks good to me.
“That proposition still looks good to me”
No matter what happens, it will always look good to you.
It looks like a reasonable proposition to me too. One that can in due course be tested properly, just like any scientific hypothesis.
Very good summary of how little we really know about our closes star. Too many assumptions are being made about how solar total energy output effects our planet and the rest of the solar system. No-one is interested in finding the truth – they just want the Trillions of profit that will be made from blaming climate change on the actions of us humans. Compared to the energy from our sun, mankind’s contribution to climate change is less than a pimple on the bum of an elephant. Keep up the good work Andy.
Well said Tenuc. That sums it up nicely. UNESCO has just declared that the Great Barrier Reef is NOT on the endangered list, which has caused a lot of handwringing amongst the “scientists” on the gravy train.
Total solar radiation may change slightly, but UV radiation is much weaker than in the previous cycle. The long-term decline will affect ozone production in the upper stratosphere and stratospheric temperatures.

 
There is a problem with that Bremen composite Mg II index graph Ren, it got the start of SC25 at 2018 03, when it was 2019 12. The SC25 curve is displaced almost 2 years making it look much weaker than in the previous cycle when it is actually similar. Someone should tell them.
One has to be skeptical of the data that contradicts one’s hypothesis, but even more skeptical of the data that supports it.
It’s not a sunspot minimum, but a UV minimum. Of course, this means a decrease in sunspot magnetic activity.
I always wondered about the impact of differential warming from certain wavelengths. Matter reflects and absorbs at different wavelengths so the impact can’t be the same if the wavelengths change even if the total TSI stays nearly the same.
A Watt is not a Watt when it comes to energy transfer through wavelengths as a calorie is not a calorie when it comes to diets.
Try growing plants in a greenhouse with the wrong glass. Wavelengths are not equal.
Figure 4. Comparison of UV solar activity in the three most recent solar cycles (SC) 22-24. The thick curves show the Mg II index timeseries twice smoothed with a 55-day boxcar. Dates of minima of solar cycles (YYYYMMDD) were determined from the smoothed Mg II index.
https://www.iup.uni-bremen.de/gome/gomemgii.html
“This post is a result of an online conversation with Dr. Leif Svalgaard, a research physicist at Stanford University. Leif knows a great deal about the Sun and solar variability and can explain it clearly. Our disagreement is over whether long-term solar variations could be large enough to affect Earth’s climate more than changes due to humans – or not. Thus, we are arguing about the relative magnitudes of two sources of radiative forcing (RF) that are not known accurately. “
A significant aspect of our global climate is that it’s dry.
One could assume a higher global average surface air temperature would result in a less dry world.
But one could also go more directly to the matter and compare “long-term solar variations” vs “changes due to humans” in terms which make earth less dry.
Our cold ocean is related Earth’s global climate being in a ice house climate. Our global average surface air temperature is largely about the global average ocean temperature which averages about 17 C with our global land surface air temperature being about 10 C.
Since ocean surface is about 70% of Earth surface this gives our global average surface air temperature to be around 15 C.
One can say global average surface air temperature is mostly measuring how dry our world is because ocean surface temperature of only about 17 C indicates this global dry icehouse climate.
But chain anchor wrapped around our neck is the temperature of entire ocean which about 3.5 C.
If entire ocean was a bit warmer, say 5 C {which would staggering amount heat “trapped or “lost” in our ocean”] the result could only be a much higher average global ocean surface temperatures, and it would be far wetter world.
Out of the article:
“We are currently in a solar maximum and have no measurements of the Sun in a solar minimum, so all reconstructions of the Sun in a solar minimum are speculative extrapolations”
Are we ?

My impression is, we are in a minimum, not down at the base, but the the actual cycle is slowly increasing if I look at the actual TCI data at spaceweather.com.
Krishna,
I was speaking longer term, that is comparing the Maunder Minimum to the last 100 years or so. I do agree that the Sun appears to be headed toward a minimum, but we can’t be sure about that, at least not yet. We also do not know how solar activity affects Earth’s climate in sufficient detail.
Compare the measures of solar activity in the attached plot in 1700 to today. You can see we are still more active than then. The plot is from Owens, et al., 2015:
https://www.swsc-journal.org/articles/swsc/full_html/2015/01/swsc150038/swsc150038.html
“Compare the measures of solar activity in the attached plot in 1700 to today”
That is a meaningless comparison as both years are sunspot minimum years with almost no activity. Your Figure shows very nicely that activity since 1700 has had no upwards trend. The auroral data is observer dependent and not an unbiased record of solar activity.
… and yet the global temperature data show the same spectral component of ~21 years as does solar magnetic cycle and the auroral data from the land of your forefathers
“That is a meaningless comparison as both years are sunspot minimum years with almost no activity. Your Figure shows very nicely that activity since 1700 has had no upwards trend”
Compare “1700” to “2021”? I meant compare the decades around 1700 to the decades around 2021, I thought that was clear. The Earth, and the Sun, have a lot of system inertia. Earth’s oceans collect and distribute thermal energy over many centuries. Comparing single years has no climatic significance.
A lot of the atmosphere is saturated with enough water for cloud formation but lacks nucleation sites. When solar activity falls, as it does, the weaker solar wind allows more galactic cosmic rays into the inner planets of the solar system. When these GCRs impact oxygen and nitrogen atoms in the upper atmosphere they cause a cascade of neutrons which provide nucleation sites for cloud formation in the lower atmosphere. Increased cloud covers increases the Earth’s albedo and the Earth cools. If you only talk about watts per square metre then you miss more than half the story. The Earth’s albedo has been increasing since 2000 and the planet has been cooling and continues to cool.
Yes, cosmic ray water vapour nucleation is a major factor, along with changes to the strength of the polar vortex. Strong solar activty, tight vortex which holds cold air at the poles. Weak solar activity leads to loopy polar vortex, and cold air descending to lower latitudes. Prolonged periods of either polar vortex regimen, leads to significant climate change.
I think that’s the message in this post – the Sun’s contribution is fairly constant (+/- a small amount), but it is how the Earth system interacts with it over time that determines climactic variability.
Except that there has not been consistent cooling the last half century as solar activity has decreased.
Speculation on:
No decrease of solar activity, the temperatures would be higher as they are now.
Leif,
“has not been consistent cooling the last half century as solar activity has decreased.”
What is the lag? ENSO drives the peaks and valleys in the record you show. Longer term I see a step up around 1998 and another around 2015. Since 1945 and prior to 1979, temperatures were cooling. Exactly how climate interacts with solar variation and with what lag is unclear.
“ Exactly how climate interacts with solar variation”
And yet you claim that they interact.
To me, the evidence isn’t there. Especially since solar variation as observed is so minute.
“..the evidence isn’t there. Especially since solar variation as observed is so minute.”
Leif, the evidence is in. Just because the sunspot number trend for 1748-2021 is zero doesn’t mean there weren’t significantly different climate changing solar epochs.
The climate as defined by the 30y HadSST3 data is reducible to a lagged function of 120 years, or eleven solar cycles of solar energy.
The estimated difference in solar forcing between the last 120 years and the long-term average since 1748 is 5 W/m2, and the difference between the the Solar Modern Maximum period TSI and the long-term average since 1748 is about 16.5 W/m2.

Might be complete coincidence but a PDO or AMO cycle is just half of 120 years.
While there is a lag with atmospheric heat uptake owning to the many heat transfer process there shouldn’t be any lag between solar variation and total heat uptake. Oceanic heat content is a good proxy for the total so you can probably plot solar attributes with OHC as method of testing how solar variation effects the climate.
In a system with many interacting cycles, I wouldn’t expect any temperature trend to be “consistent” over decades.
Except that there has not been consistent cooling the last half century as solar activity has decreased.
Touche Leif. I cite the UAH satellite based global temperature record superimposed with sunspot activity all the time… with the same devastating outcome.
I’ve come to see Sunspot activity is the right-wing flip side of left-wing CO2 obsession… both equally wrong in asssumng (wishing-hoping) that tiny effects on atmospheric dynamics somehow get converted into the climate “control knob”.
There has to be a lag phase for any effect from the sun in global temperature trends cause of the heat capacity of the oceans. Never will be immediatly. Given that there is any of course.
Ok. So how long is the lag? 50 years? 100 ?
It is not my job to figure that out. It is just obvious that looking only for immediate impact will be misleading as earth is not a rocky planet without oceans and atmosphere.
An example of projection. Always accuse others of what you are doing yourself. Carbon dioxide hasn’t worked out as the control knob. Now you are floundering.
Given how much we have learned over the last few decades about prominent 30, 60 and even 100 year cycles in the climate, why would anyone assume that any warming or cooling would have to “consistent”, unless one is just trying to move the goal posts.
Worth mentioning.
There is something worth considering here. The atmosphere effect, that is the albedo and the GHE of the atmosphere nets some 8K only. We know that, since the water surface has an (hemispheric spectral-) absorptivity of 0.934 and emissivity of 0.908. We get (342 * (0.934/0.908) / 5.67e-8)^0.25 =280.7K for a no atmosphere temperature. That is only true for water, but including land there will not be too much deviation. Given it is actually warmer, we can conclude the atmosphere adds some 8K..
As long as the atmosphere does not undergo extreme changes (like with its mass), this 8K figure should remain quite stable. Unlike the fictional 33K “GHE”, the small base magnitude will not allow for much natural, autonomous climate variability of Earth.
Once we know that, the question what caused the ice ages becomes very interesting. Practically it can be ruled out it was something going on Earth. Rather this needs to come from an external source, obviously the sun. It is extremely unlikely the sun would not undergo strong long term cycles, beyond the ones we know.
Milankovitch cycles
Any links directly between the sun and the Earth to explain ice ages will also have to explain the ice ages on Mars in exactly the same way. As they occurred at different times and with different intervals, that explanation could get downright interesting indeed.
We have paleoclimate data from Mars?! Wonder how..?
Indeed how? Richard?
Where is this evidence of past ice ages on Mars?
We’ve only been observing Mars for about 200 years. Observing it with telescopes powerful enough or close enough to actually discern climate on Mars for less that 50 years.
Earth is cooling – starting circa 2019 to early 2020. We predicted this solar-driven cooling in 2002. We were correct. Try to figure out why.
Allan MacRae published in the Calgary Herald on September 1, 2002, based on communication with Dr Tim Patterson:
3. “If [as we believe] solar activity is the main driver of surface temperature rather than CO2, we should begin the next cooling period by 2020 to 2030.”
MacRae updated his global cooling prediction in 2013, based on cold events that occurred starting circa 2008 near the end of Solar Cycle 23:
3a. “I suggest global cooling starts by 2020 or sooner. Bundle up.”
________________
THE REAL CLIMATE CRISIS IS NOT GLOBAL WARMING, IT IS COOLING, AND IT MAY HAVE ALREADY STARTED
By Allan M.R. MacRae and Joseph D’Aleo, October 27, 2019
https://wattsupwiththat.com/2019/10/27/the-real-climate-crisis-is-not-global-warming-it-is-cooling-and-it-may-have-already-started/
For hundreds of extreme-cold events worldwide, see
https://electroverse.net/category/extreme-weather/
“SNOWSTORM IN AFRICA!” — SOUTH AFRICA SMASHES *AN ADDITIONAL* 19 ALL-TIME LOW TEMPERATURE RECORDS OVER THE PAST 24 HOURS
July 24, 2021 Cap Allon
“I have never had to drive through a snowstorm in Africa before.”
Allan,
You will NEVER make it as a ‘Climate Scientist”.
1) Your predictions are too specific.
2) Your predictions are too well documented.
3) Your predictions are proving accurate.
So just give it up.
Drake
Good one Drake! LOL!
In order to be a true mainstream climate scientist, you’ve got to make scores of predictions, and every one has to be scary, alarmist, and WRONG!
Excerpt from my paper
CLIMATE CHANGE, COVID-19, AND THE GREAT RESET Update
1d
“Rode and Fischbeck, professor of Social & Decision Sciences and Engineering & Public Policy, collected 79 predictions of climate-caused apocalypse going back to the first Earth Day in 1970. With the passage of time, many of these forecasts have since expired; the dates have come and gone uneventfully. In fact, 48 (61%) of the predictions have already expired as of the end of 2020.”
Climate doomsters have a perfect NEGATIVE predictive track record – every very-scary climate prediction, of the ~80 they have made since 1970, has FAILED TO HAPPEN.
Fully 48 of these predictions expired at the end of 2020. Never happened! Never will!
What are the odds at 50:50 per prediction?
3.6*10^-15 = 0.0000000000000036
That is one in 281 Trillion!
There is a powerful logic that says no rational person or group could be this wrong, this utterly obtuse, for this long; they followed a corrupt agenda, and they lied again and again.
The ability to predict is the best objective means of assessing scientific competence, and the global warming alarmists have NO predictive track record – they have been 100% wrong about everything and nobody should believe these fraudsters – about anything!
This is the only new Law in the universe, published in early 2020.
Suggested Edit: Delete the word “Virtually”.
“MACRAE’S MAXIM”:
“VIRTUALLY EVERY SCARY PREDICTION BY GLOBAL WARMING ALARMISTS IS FALSE.”
Best regards, Allan
Please watch this entertaining and informative video from my good friend Dr Willie Soon. Calling out the lying warmist fraudsters.
Failed Climate Predictions: Fake Science for 50+ Yrs
From: Willie Soon
Sent: July-26-21 6:58 AM
Subject: Please help spread: Failed Climate Predictions: Fake Science for 50+ Yrs with Professor Willie Soon at Camp Constitution
I just did this talk for the kids (and adults) at the Camp Constitution: please help spread the message
(http://campconstitution.net/)
Failed Climate Predictions: Fake Science for 50+ Yrs
https://rumble.com/vkc4vf-failed-climate-predictions-fake-science-for-50-yrs-with-professor-willie-so.html
Please consider watching so many other great talks at the Camp …
W
Specific, falsifiable predictions! I think Karl Popper called that science.
Thank you Andy. Karl Popper nailed it..
Maybe I did too – but I’d rather be wrong. I’m getting old and hate the cold.
In the vernacular of French Canada and the small Quebec town where I was raised:
Ësti! Tabarnak! Câlice! Calvaire! Ciboire! Saint-sacrament!
[Insert wry sad smile]
In 2004 you predict cooling in 2019 and there has been a drop of 0.6C, well done, finally, like a broken clock you were accurate. Alas there was even more cooling than that in 2007, 2011 and 2017. In 2017 it fell 0.7C, in 2011 it fell 0.8. How did you fail to predict those even larger falls?
And lets of course ignore the overall net rise, IOW the even bigger rises than the falls.

Talk about specific, falsifiable predictions!
I notice that you have absolutely no problem with defending the climate models, even though they have completely missed all of the ups and downs in global temperature.
Do you actually think Maddog Macrae has predicted anything here? No, I thought not.
See hundreds of extreme-cold events worldwide at Electroverse.net – as we correctly predicted in 2002.
I spoke recently with my good friend and co-author Joe D’Aleo and we both expect another La Nina this winter. More cold. Climate crisis cancelled.
A CATALOG OF CROP FAILURES
July 27, 2021 Cap Allon
What’s unique right now is that extreme weather seems to be pounding every key growing region of the globe, simultaneously. #GrandSolarMinimum
I would much rather have been wrong. This will end badly.
Earth is cooling – starting circa 2019 to early 2020. We predicted this solar-driven cooling in 2002. We were correct. .
Allan MacRae published in the Calgary Herald on September 1, 2002, based on communication with Dr Tim Patterson:
3. “If [as we believe] solar activity is the main driver of surface temperature rather than CO2, we should begin the next cooling period by 2020 to 2030.”
MacRae updated his global cooling prediction in 2013, based on cold events that occurred starting circa 2008 near the end of Solar Cycle 23:
3a. “I suggest global cooling starts by 2020 or sooner. Bundle up.”
“The IPCC and Svalgaard believe that, since 1750, the change in solar output nets to zero, or close to it:
The solar output doesn’t ‘net to zero’ as stated. Sunspot cycles are asymmetric and the cycle differences accumulate over time, yielding below or above average periods that last for decades. Otherwise we wouldn’t have the Dalton or Maunder minima to talk about.

This point on ‘no measurable effect’ is also clearly wrong as the ocean tracks the sun’s cumulative changes:

The solar modern maximum (1935-2004) brought the USA out of the drought caused by the effect on precipitation of low solar activity by driving more evaporation and precipitation, via higher TSI.

The IPCC view doesn’t take into account the ocean’s accumulation of solar energy.
I ask you professional scientists to tell us, was the difference between the droughts of the 1930s and the wet extremes of the solar modern maximum statistically significant, was it significant for the climate?
If your answer is yes, then the claim of “no measurable effect on climate” needs an upgrade to “the sun is the most significant climate influence”.
Hi Bob – I certainly do agree with your conclusion and have done so since ~forever:
“The sun is the most significant climate influence”.
Slam dunk!
“The sun is the most significant climate influence”.
I don’t think too many people here (even Dr Svalgaard) would disagree with that statement – but what, exactly, is the specific significance? Is it purely solar variation? Interference in the magnetosphere? Variation in the strength of the solar wind? Changes in orbital distance or axial tilt as regards to the sun? Or a combination of these and some other, yet to be determined, factor?
All good questions Richard, and ones that I can generally only guess at.
Having limited time to devote to this hobby, I am satisfied if I can use solar activity as a reliable predictor of global climate, which I think I have succeeded in doing since 2002, when we predicted global cooling to start circa 2020. See Electroverse.net for hundreds of extreme-cold events worldwide. That was climate heresy in 2002, and the Wokerati have been pursuing me ever since.
For details, see https://wattsupwiththat.com/2021/07/23/can-we-predict-long-term-solar-variability/#comment-3298869
I think both Nir Shaviv and Willie Soon have provided valuable insights. See some of Willie’s work at
THE REAL CLIMATE CRISIS IS NOT GLOBAL WARMING, IT IS COOLING, AND IT MAY HAVE ALREADY STARTED
By Allan M.R. MacRae and Joseph D’Aleo, October 27, 2019
https://wattsupwiththat.com/2019/10/27/the-real-climate-crisis-is-not-global-warming-it-is-cooling-and-it-may-have-already-started/
For a “macro” assessment of the detailed Earth-temperature mechanism, see the following, but it still does not fully answer your question.
CO2, GLOBAL WARMING, CLIMATE AND ENERGY
by Allan M.R. MacRae, B.A.Sc., M.Eng., June 15, 2019
https://wattsupwiththat.com/2019/06/15/co2-global-warming-climate-and-energy-2/
Excel: https://wattsupwiththat.com/wp-content/uploads/2019/07/Rev_CO2-Global-Warming-Climate-and-Energy-June2019-FINAL.xlsx
[excerpt]
6. The sequence is Nino34 Area SST warms, seawater evaporates, Tropical atmospheric humidity increases, Tropical atmospheric temperature warms, Global atmospheric temperature warms, atmospheric CO2 increases (Figs.6a and 6b).
Other factors such as fossil fuel combustion, deforestation, etc. may also cause significant increases in atmospheric CO2. However, global temperature drives CO2 much more than CO2 drives temperature.
Fig.6a – Nino34 Area SST warms, seawater evaporates, Tropical atmospheric humidity (offset) increases, Tropical atmospheric temperature warms…
Fig.6b …and UAH LT Tropics Atmospheric Temperature leads UAH LT Global Atmospheric Temperature, which leads changes in Atmospheric CO2.
See also: https://wattsupwiththat.com/2019/06/15/co2-global-warming-climate-and-energy-2/#comment-2724451
Regards, Allan
Nir Shaviv practically showed the influence of sun cycles on oceans with his calorimetric approach.
He argues the same that sun’s part is by far underestimated due to the focus on only TSI.
If he actually understood TSI correctly, the focus on TSI is not overestimated.
Great article Andy.
In science and politics if you let your adversaries frame the debate, you have already lost it. In science the presuppositions are extremely dangerous because they escape the scientific method. They are never checked and may prevent scientists from finding the truth. It has happened over and over in the history of science until someone appears that rejects the presupposition.
The main unsupported presupposition in the solar-climate field is that the climate effect of solar variability must be due to the change in incoming radiative energy. Since the change is small the effect must be small.
You have shown that it is not demonstrated that the change is small, but you keep the debate within the unsupported presupposition.
Is it not possible that the changes in solar activity alter the outgoing radiative energy? This possibility cannot be ruled out on principle, yet that is exactly what is done by the current crop of disappointing climate scientists and some astrophysicists as Leif Svalgaard.
What is absolutely clear to many paleoclimatologists is that there is a strong correlation between past solar activity and past climate changes for the entire Holocene. And there is plenty of information that changes in solar activity affect atmospheric circulation and determine the climate of the Arctic and Subartic regions during the 20th century. Scientists of the category of Kobashi, Vinther, Blunier, White and others demonstrated in 2015 that the climate in Greenland during the past 2000 years and over the 20th century showed a recursive pattern of antiphase temperature responses to solar variability with a possible multidecadal lag (Kobashi et al. 2015).
An in principle a viable mechanism does exist. The extension of the Earth’s atmosphere is dependent on solar activity. High solar activity shortens the life of satellites. Due to the conservation of the angular momentum, when solar activity is low and the atmosphere contracts, the speed of rotation of the Earth is accelerated. Atmospheric circulation also changes in response to these changes in angular momentum and enters a more meridional pattern. The Jet Stream becomes wavier and the polar vortex becomes disorganized opening a way for the exchange of very cold polar air masses with Northern Hemisphere temperate warm air masses. More heat is transported to the North Pole in winter where is lost to space through a regional increase in long wave radiation due to the total absence of clouds in the Arctic in winter. It is not the change in energy from the Sun that powers these changes, it is the energy within the climate system that is directed one way or the other in response to the changes in solar activity.
To solve the climate riddle an adequate knowledge of the energetics of the climate system is an absolute requirement. The planet receives most of its energy through the tropical band, and the poleward transport of energy is huge, dwarfing the discussion we are having about the energetics of CO2. This transport is in great measure seasonal as the amount of energy directed to the dark pole is much higher than the amount directed to the lit pole.
Low solar activity favors the poleward transport of energy in winter, warming the Arctic and cooling the mid-latitudes. As a result the planet loses more energy and cools slowly over the decades. Thus it is the multi-decadal average of solar activity that changes the climate over the multi-decadal time-frame.
As Kobashi et al. 2015 say:
“Modern solar maximum forced late twentieth century Greenland cooling.” Kobashi et al., 2015.
What they don’t say is that the cooling of the subpolar region has a reflection in the warming of the temperate latitudes accounting for a great part of what has been termed “Global warming.”
They also say:
Guess what, their prediction has come true and since 2000 the Arctic has been warming in winter (not in summer) and global warming has stalled with the 2002-2014 Pause and cooling since 2016.
http://ocean.dmi.dk/arctic/meant80n_anomaly.uk.php
So the predictions from the solar hypothesis are correct and the pattern of antiphase Arctic temperature responses to solar variability continues. This is strong support for the hypothesis that a great deal of what has been termed “Global warming” is due to the Sun and we have a good hypothesis of how it could happen. To demonstrate it a lot of research is needed, regretfully it will not happen because the current crop of disappointing climate scientists believe they already have the answer and are not looking for it.

Thanks Javier. Well said, as always.
The whole discussion can be summed up with the immortal words by Al Gore:
“If we don’t know anything, anything is possible”.
It is fitting that you would cite a liar politician.
Science is the process of demonstrating what is not possible. In the words of Andy May:
Politics & Climate Change. A History. Andy May 2020, chapter 6.
The hypothesis these scientists have proposed has supporting evidence and more predicting success than the CO2 hypothesis. Your attitude towards a viable hypothesis you cannot disprove only shows how closed and biased is your mind in this issue.
If the hypothesis is not based on actual data it is not viable. In science the onus is on those who pose the hypothesis to present the evidence. No need to ‘disprove’ unsupported speculation. And Al Gore got it right; to that we can add the need of your resorting to ad hominem comments. Shame on you.
That is obviously not correct. Alfred Weggener’s hypothesis of continental drift lacked the data on plate tectonics, yet he ended up being right. The continents have changed their position as he proposed.
There are dozens of papers presenting actual data that supports the hypothesis that solar activity strongly affects the climate by changing atmospheric circulation, and one can check that himself as I did by checking geopotential height for the winters during solar maxima versus the winters for solar minima. It couldn’t be more different:

So there is plenty of data that you just will ignore not matter how it is presented to you.
I wrote this in 2016:
We are now at the low of a centennial (Gleissberg) cycle that should expand SC24-25 (low activity aprox. 2005-2033). Central Europeans should have prepared for this eventuality, since it is known by science that low solar activity increases the risk of flooding, but their governments are ill advised by people like you that don’t believe in the effect of solar activity on climate despite the data.
Hitchens razor: “What can be asserted without evidence can be dismissed without evidence“.
I agree 100% with Hitchens. The problem is the pattern in science when defenders of the dominant theory dismiss without evidence challengers that do have evidence.
Alfred Weggener had tons of evidence from Geography, Geology and Paleontology, yet his theory was dismissed without evidence.
In climate science there are four main factors for which there is evidence that participate in multidecadal climate change, what is unknown is their relative effect:
Without evidence, three of them have been declared irrelevant.
Is this science?
According to philosophers of science, scientists as a group try to avoid type I errors from accepting theories with limited evidence support that might become false when evidence grows. They prefer to commit type II errors from rejecting theories that might become true when evidence grows. This is out of fear of contaminating the corpus of science knowledge with false theories.
The result is that the dominant theory will continue being so no matter the amount of evidence against it until it becomes untenable, then an alternative will be chosen and somebody made a hero, preferibly if already dead like Weggener.
With all our biases and prejudices it is clear that humans are not very well endowed to do science, despite our curiosity. We better let science to AI as soon as possible, as we can program it without biases and prejudices.
Good morning Javier.
Regarding your comment:
“In climate science there are four main factors for which there is evidence that participate in multidecadal climate change, what is unknown is their relative effect:
Increasing anthropogenic GHGs
Changes in cloud cover (i.e. the Iris effect)
Changes in solar activity (direct and indirect effects)
Natural variability (i.e. oceanic oscillations)
Without evidence, three of them have been declared irrelevant.
Is this science?”
Having studied climate science since ~1985, I say the evidence strongly supports the following:
Increasing anthropogenic GHGs – Water vapour is overwhelmingly the dominant greenhouse gas. CO2 is NOT relevant, because atmospheric CO2 changes lag atm. temperature changes by ~9 months.
Ref. Kuo et al 1990, Keeling 1995, MacRae 2008, Humlum 2013.
Changes in cloud cover (i.e. the Iris effect) – Probably relevant.
Ref. Lindzen, Svensmark.
Changes in solar activity (direct and indirect effects) – Certainly relevant.
Ref. Shaviv, Soon, MacRae/Patterson 2002 prediction of global cooling starting ~2020, Cooling predictions by Landscheidt 2003, Zharkova et al 2015.
Natural variability (i.e. oceanic oscillations) – Certainly relevant.
Ref. Nino34 SST leads Earth air temperature by ~4 months.
The popular “increasing-atmospheric-CO2-drives-dangerous global-warming” mantra is false political propaganda, disproved many times.
The Sun governs global temperatures at the century scale, moderated by oceanic cycles and probably amplified by the Iris Effect.
Best regards, Allan MacRae
SELECTED REFERENCES:
THE CATASTROPHIC ANTHROPOGENIC GLOBAL WARMING (CAGW) AND THE HUMANMADE CLIMATE CHANGE CRISES ARE PROVED FALSE January 10, 2020
https://thsresearch.files.wordpress.com/2020/01/the-catastrophic-anthropogenic-global-warming-cagw-and-the-humanmade-climate-change-crises-are-proved-false.pdf
THE REAL CLIMATE CRISIS IS NOT GLOBAL WARMING, IT IS COOLING, AND IT MAY HAVE ALREADY STARTED October 27, 2019
https://wattsupwiththat.com/2019/10/27/the-real-climate-crisis-is-not-global-warming-it-is-cooling-and-it-may-have-already-started/
CO2, GLOBAL WARMING, CLIMATE AND ENERGY June 15, 2019
https://wattsupwiththat.com/2019/06/15/co2-global-warming-climate-and-energy-2/
TEMPERATURE DRIVES ATMOSPHERIC CO2 ON ALL TIME SCALES
By Allan MacRae, June 12, 2015
http://icecap.us/index.php/go/icing-the-hype/temperature_drives_atmospheric_co2_on_all_time_scales/
CARBON DIOXIDE IS NOT THE PRIMARY CAUSE OF GLOBAL WARMING, THE FUTURE CAN NOT CAUSE THE PAST January 2008
http://icecap.us/images/uploads/CO2vsTMacRae.pdf
DEBATE ON THE KYOTO ACCORD November 2002
http://www.friendsofscience.org/assets/documents/KyotoAPEGA2002REV1.pdf
________________________________________________
To Javier:
“Alfred Wegener had tons of evidence” and was ultimately correct.
But you have no evidence so it is hard to declare you correct.
Leif,
There are so many problems with Al Gore’s comment we can’t address them all. I’ll address one problem; we do know a lot about solar variability. We also know a lot about climate variability, especially for the past 2,000 years.
The information is qualitative mostly, some is based on low resolution, sparse proxies. But they generally track one another in the way we would expect. Low solar activity leads to cold conditions on Earth.
My point in this article is that the proposed influence of man since 1750 is only 2.3 W/m^2, this is well below the accuracy of our measurements. Accuracy matters.
You are conflating accuracy and precision.
And your last graph is [deliberately?] misleading. Here is the honest graph showing the group numbers and the sunspot areas the last 300 years:
I wouldn’t think you are mathematically challenged so perhaps it is a comprehension problem. It says clearly “average monthly sunspots”, so you get the monthly sunspot database from SILSO:
https://wwwbis.sidc.be/silso/DATA/SN_m_tot_V2.0.txt
You copy the data column (fourth) to Excel, and you run a 70-year average (840 months or data points). First result point is the average from months 1-840, second result from 2-841 and so on. Then you plot the result and you get exactly the graph I have posted. Anybody can do it in less than 5 minutes. How can that be (deliberately?) misleading? What is your problem? Do you have a specific blindness to the solar maximum?
Worked fine, I just did it.
You should plot the centered average [that is the first point should be plotted at month 440, not at 840,or better: use the full series over the last 300 years] and have the ordinates start from zero as I showed you.
You should not rush to call someone a (deliberate?) misleader without first examining the evidence. It leads to think that you also rush to reject the evidence of solar variability effects on climate without examining it.
In any case I am glad that you have finally seen that the Solar Modern Maximum can be fully supported with the SSN data. The 1935-2005 70-year period with highest solar activity in at least 600 years.
The graph is deliberately misleading.
Why choose a 70 year average?
Because the Modern Solar Maximum goes from 1935 to 2005, defining the 70-year period with highest solar activity in the last 600 years.
Or do you think that it is just a coincidence that the longest period of high solar activity in the past 600 years corresponds to the period of highest temperature in the past 600 years?
Before pattern altering adjustments after Hansen’s disappointment that no new record temperature occurred on the occasion of super el Niño 1998 peak and ‘projections’ of T anomaly in the first decade of the new millennium proved to be almost 300% to high, pretty nearly all the warming in the century had occurred by the early 1940s when CO2 levels weren’t thought to be significant.
The deep cooling followed 1945 to1980 and much of the hyped warming after 1980 was largely recovery from the deep cooling. The CO2 control knob would have been long falsified if the ugly adjustments hadn’t been made and smoke screened.
It would seem from your info that warming was quite quickly initiated after the solar max had begun.
I was just thinking that since TSI follows sunspot counts with or little lag we would want to see activity smoothed just enough to reduce cycle variation, but not so much that the peak in activity appears shifted decades into the future. Maybe I’m not understanding your graph though.
Maybe you are not understanding it. What it shows is that by 2005 the 70 years prior had been the 70-year period with highest solar activity for the entire record. That is why it is called the Modern Solar Maximum.
It makes no sense to center the average in this particular instance because the planet cannot know what the solar activity is going to be in the next 35 years, but it might know what solar activity was 70-years before, as the climate system has a lot of long-memory features whose effects can last and/or accumulate for decades, centuries and even millennia.
As this 70-year period includes the recent Global Warming it deserves our attention.
And in terms of climate, it is known that many solar effects on climate require long term changes in solar activity and manifest with a long lag.
For example solar activity shows a good correlation with wind stress curl in the North Atlantic with a 34-year lag.

From Kobashi et al. 2015.
That is really interesting. I skimmed the paper. I need to read it more closely now and digest it. I do see where they show a 35 year lag in the wind stress in the North Atlantic. Obviously ocean currents in this region have a significant influence on Greenland temperatures so I can see how the wind stress is important in this context.
except that the TSI curve is incorrect
That’s a pattern: Whowever has a different view to yours is wrong. Not a very scientific position, particularly since you have been wrong in the past and you could be (probably are) wrong now.
Anything else you take it to the authors or the editor.
“Not everything important is measurable, and not everything measurable is important.”
― Elliot Eisner
Also attributed to Einstein and many others.
This is one of my core engineering career principles.
Or as my old chemistry teacher Geoffrey “Solomon” Beaumont was fond of saying: everything worth knowing is difficult to understand, but the converse isn’t necessarily true
“that solar activity has had no measurable effect on climate over the past several centuries”
The TSI warming effect of the last solar maximum on the tropical ocean was measurable:

The slow cooling since 2016 from the solar minimum is also evident.
One comment made in passing in this excellent post has me puzzled. The sun, he says, “is not solid, thus the rate of solar rotation varies by latitude, it rotates faster at the equator and slower near the poles.” Considering the vast difference in kinetic energy required between the equatorial gases and those at higher latitudes, I would expect some of this energy to spread to higher latitudes, so that the gases at the higher latitudes would have a higher rotation rate than the equator, creating something like our “westerlies”. I’m assuming that the quote was based on observations, so I bow to Mr. May, but “”tis a puzzlement”.
hiskorr,
This wikipedia article describes the problem fairly well:
https://en.wikipedia.org/wiki/Solar_rotation
As it says, the source of the differential rotation is not completely understood.
Thanks. The ‘sperts don’t know either! I’ll request a grant–send money!
Where are the effects of clouds as dominant over the total solar radiance as the climate control knob?
The Sun’s output varies 0.1% over decades, that’s about a watt, while clouds can reflect 80% of the incoming sunlight over a period of a few minutes, that’s about 1000 watts, so the most important is…..
Spaceweather’s radio flux chart is stopped
solar-cycle-10-cm-radio-flux.gif (720×550) (noaa.gov)
Is anything going to replace this?
Where do you go to find out whose prediction of the next solar cycle (big, not big, small, not small) is correct?
One source:
https://lasp.colorado.edu/lisird/data/penticton_radio_flux/
another
ftp://ftp.seismo.nrcan.gc.ca/spaceweather/solar_flux/monthly_averages/solflux_monthly_average.txt
“As already mentioned, for the Sun to be the dominant (that is >50%) cause of recent warming, the Sun would have to increase its output about 6 W/m2 since 1750, or 0.02 W/m2/yr on average. “
…assuming the numbers from Lockwood-Ball 2020 are right.
There were large swings in cumulative TSI since 1750 with the most recent large disparity of about 0.48 W/m2 between the solar modern maximum years and the centennial minimum years. I would be very careful quoting anyone who thinks CO2 is more powerful than TSI.
The entire climate science structure is built on ignoring these solar epoch differences.

Maybe I’m just not understanding your graph and the meaning behind the 0.48 W/m2 figure, but a TSI change of 0.48 W/m2 represents a radiative force of 0.48 / 4 * 0.7 = 0.08 W/m2.
There was about 0.48W/m2 per year higher TSI from the Sun during the modern maximum (108.5 ave SN for 70 years) than the during the centennial minimum (59.4 ave SN).
This amounts to about 33.6W more total energy during the solar modern maximum years than the centennial minimum. This big positive swing in solar output drove the ‘global warming’ everyone complains about.
I may still be confused here. 33.6W is not energy. It is power. Did you mean the total energy is actually (0.48 W/m2 * 70 yr * 31556952 s/yr) / 4 * 510e12 m2 = 135e21 joules at TOA? Note that 0.48 W/m2 * 70 yr = 33.6 W-years/m2. But that is for the zenith. Projected on the spherical Earth this would be 33.6 W-years/m2 / 4 * 510e12 = 4.3e15 W-years or 135e21 joules over 70 years; the result as above. As a point of comparison the climate system took up about 350e21 joules over the last 60 years (see Shuckmann et al 2020).
Andy: in-orbit active cavity radiometer measurements are non-trivial, as your linked article states. The ACR people held a workshop in 2005 in which they tried to sort out the issues, including uncertainty estimates of the different instruments:
https://ntrs.nasa.gov/api/citations/20090027895/downloads/20090027895.pdf
Looking at the source data again is important because it is from these the three composites are derived, and then the linear regressions in Fig. 1. Note that all of these data are corrected for the Earth-Sun distance variation. Without this correction the data would show a sinusoidal modulation over the course of a year of about 2-3%, or 30-40 W/m2, which is larger than the range of the y-axis by about two.
The regressions are extremely small and within the ±5 W/m2 typical total uncertainties. If you average all of them the result is going to be very close to zero. I think trying to come to any conclusions from them is risky from an uncertainty POV.
Monte Carlo, I couldn’t agree more. The uncertainty in our measurements and proxies is larger than what we are trying to measure, the human influence on climate. Interesting report, thanks for posting the link.
Note that all of these data are corrected for the Earth-“Sun distance variation. Without this correction the data would show a sinusoidal modulation over the course of a year of about 2-3%, or 30-40 W/m2,”
Carlo, I’m sorry I don’t have the link, but Willis in researching reported influence on climate of sun “cycles”, apparently found that the difference in TSI between perihelion and aphelion remarkably was absent in the earth temperature records. Maybe increased clouds at perihelion?
Good question, but I can’t offer insights here.
One point that perhaps should be obvious, but may not be so obvious—the Earth-Sun distance also modulates the input to the typical climate energy balance calculations, at a level that is quite a bit larger than the levels of forcings usually discussed. I would assume then these need to be done with annual averages.
Wow, what a beautiful, science-fact-based article. Thank you, Andy May!
I especially appreciate this direct, unequivocal statement of yours:
“We simply do not know enough about the long-term variability of the Sun to preclude it as a cause of current warming.”
May’s [unsupported] claim is that there is an unobserved ‘quiet sun’ magnetic field which heats the photosphere and provides additional variation of TSI. The observations of solar magnetic fields show that there is no evidence for this. A recent paper reports:
On the Variability of the Solar Mean Magnetic Field: Contributions from Various Magnetic Features on the Surface of the Sun Souvik Bose and K. Nagaraju: accepted 2018 June 12; published 2018 July 20 Abstract The solar mean magnetic field (SMMF) is referred to as the disk-averaged line-of-sight (LOS) magnetic field that also reflects the polarity imbalance of the magnetic field on the Sun. The origin of the SMMF has been debated over the past few decades, with one school of thought suggesting that the contribution to the SMMF is mostly due to the large-scale magnetic field structure, also called the background magnetic field, whereas other and more recent studies have indicated that active regions have a major contribution to the observed SMMF. In this paper, we re-investigate the issue of the origin of the SMMF by decomposing the solar disk into plages, networks, sunspots, and background regions, thereby calculating the variation in the observed SMMF due to each of these features. We have used full-disk images from Solar Dynamics Observatory (SDO)/AIA recorded at 1600 Å for earmarking plages, networks, and background regions and 4500 Å images for separating the sunspots. The LOS fields corresponding to each of these regions are estimated from the co-temporal SDO/Helioseismic and Magnetic Imager full-disk magnetograms. The temporal variation of the SMMF shows a near one-to-one correspondence with that of the background field regions, suggesting that they constitute the major component of the observed SMMF. A linear regression analysis based on the coefficient of determination shows that the background field dominates and accounts for 89% of the variation in the SMMF, whereas the magnetic field from the other features accounts for the rest 11%. https://arxiv.org/ftp/arxiv/papers/1806/1806.05291.pdf
This background field is the quiet sun field away from sunspots. The quiet background field falls to [almost] zero at every sunspot minimum.
Leif,
Thank you for the expansive reply.
However, I, along with other inquiring minds, would like to know if your reply is intended to assert that the science community today does indeed know enough about the long-term variability of the Sun to preclude it as a cause of current warming.“
I think that is the generally accepted view today among reputable solar physicists. This link may inform you about current thinking:
https://ui.adsabs.harvard.edu/abs/2018SSRv..214…56C/abstract
The original statement was “we do not know enough about the long-term variability of the Sun to preclude it as a cause of current warming” . It seems to me that it is equivalent to “we do not know enough about the long-term variability of the Sun to proclaim it as a cause of current warming” . If you don’t know something you cannot take it as evidence either way.
harvard link, as posted, is defective and results in 404 ERROR – Page Not Found
It is not defective. The double dot kills the auto-link. Just copy the entire line and paste it in the navigator. Or go here:
https://link.springer.com/article/10.1007/s11214-018-0487-4
But it is pay-walled.
Javier,
Thanks 1E+6 for the separate link to the abstract that Lief suggest that I read in his above reply.
Leif,
I did read the abstract that you suggested “may inform you about current thinking” as related to understanding long term variability of the Sun to the extent needed to preclude it as a possible cause of Earth’s global warming since 1750 . . . the main topic of Andy May’s article above.
Unfortunately, I find no evidence of such an assertion—let alone reference to scientific evidence of such claim—in the subject abstract.
Interestingly, I did find this statement at the end of the abstract:
“In this paper, we trace the twists and turns leading to our current understanding of long-term solar and solar wind activity.” No reference to how such activity may or may not affect Earth’s temperature trends . . . no mention that the “twists and turns” have ended.
The abstract ends with:
“we trace the twists and turns leading to our current understanding of long-term solar and solar wind activity”
implying that there is a “current understanding”, i.e. that the twists and turns have ended.
The authors were concerned with what we have learnt about solar activity and did not embark on speculation about climate.
The statement: “ “we do not know enough about the long-term variability of the Sun to preclude it as a cause of current warming” is Andy May’s
I agree. We don’t know enough either way. I tried to make that clear in the post. There are data supporting both conclusions, but nothing definitive. The proper answer, is: “We don’t know.” Thus, the IPCC assumption that the Sun has no effect on climate change, is unsupported.
“ that the Sun has no effect on climate change, is unsupported.”
By the same token, your assumption that the Sun has a significant effect on climate change is unsupported.
But, we do know as I have shown so many times.The geomagnetic and cosmic ray records going back centuries [even millennia] show us what solar activity has been in the past. We can reconstruct the Sun’s magnetic field with fair accuracy. Here is the big picture for the last three hundred years:
That’s actually a good story, Gordon. The solar physicists community in the 1970s (Leif among them) believed that solar variations were responsible for climate variations. But they failed to find evidence and after many wrong avenues and failures they became convinced that solar variations are not responsible for climate variations.
For them it would be a tragedy that in the end solar variations are responsible for climate variations and they missed it. Scientists get more and more invested in their theories along their careers, that’s why Max Plank said that science advances one funeral at a time.
Scientific revolutions are due to people that are not invested in the old paradigm, that’s why we cannot expect much from the current climate science community, Leif included.
Javier, + 42E+42, especially philosophical comments!
Reminds me of Thomas Kuhn’s landmark work The Structure of Scientific Revolutions.
“Scientific revolutions are due to people that are not invested in the old paradigm”.
Our current understanding of long-term solar activity is precisely such a scientific revolution overthrowing the old paradigm going back decades to Eddy, Hoyt and Schatten, Lean, and even Abbot [of a century ago].
The revolution began with the landmark papers by Svalgaard et al. in 2003:
https://svalgaard.leif.org/research/Determination-IMF-SW-EUV-1890-2003.pdf
and for the sunspots:
https://svalgaard.leif.org/research/CAWSES-Sunspots.pdf
Leif, Gordon and I were talking about the “solar variability-climate” subfield based on Andy’s phrase:
This subfield has not experienced any revolution and the main current position is similar to that expressed by Pittock in 1978 in “A critical look at long-term Sun-weather relationships.” I am certain you still agree with Pittock even if I don’t know if you did then.
You defend that there has been a revolution in our understanding of solar activity. You are entitled to your opinion, but from the outside no revolution is discernible, just progress and better understanding with time as it is expected in science.
Agree, well said.
“This subfield has not experienced any revolution”
Obviously not, as it is not a valid ‘subfield’, but simply a meaningless statement, that could also have been stated “We simply do not know enough about the long-term variability of the Sun to proclaim it as a cause of current warming“. What you are saying is that there has not been any significant progress in the ‘subfield’ of solar activity influence on climate. We can agree on that, but the issue is not that, but simply: how has solar activity changed over the centuries? The climate is a red herring.
The quote from Max Planck made me remember about the peak in career and breakthroughs in mathematics and physics is actually in younger peers age<40.
The rest stays on the pre-written career path until retirement.
Sami Solanki is 62. Philip Judge is 71. …
“The solar physicists community in the 1970s (Leif among them) believed that solar variations were responsible for climate variations. But they failed to find evidence and after many wrong avenues and failures they became convinced that solar variations are not responsible for climate variations.”
Not quite correct, you have distorted the story. In the early 1970s we revived the then moribund sun-weather-climate research activity. [ https://svalgaard.leif.org/research/Solar-Activity-and-Weather.pdf ]. Many relationships were reported and predictions made. As time went on, none of those held up and new data (e.g. TSI) also invalidated the projections that we all were hoping would pan out. If the solar-weather-climate connection could be shown to be valid, our field would gain enormously and funding would be plentiful, so we all hoped for the best. Unfortunately, our hopes have been squashed by the Sun’s refusal to play along.
Climate is one of the most complex issues mankind can research. And the solar variability effects on climate is one of the most complex issues that can be researched in climate since the Sun powers the entire climate system.
There’s no shame in having failed to see the conection in the 70s, Leif. You just didn’t have the tools and the knowledge. The shame is in not seeing it now when we do. For as long as the focus is on TSI, and the indirect effects are kept out of the models, the connection will remain invisible to most.
Eventually the CO2 hypothesis will fail, the look for alternatives will revive the solar hypotheses and your attempts to defend that solar activity has not increased in the past centuries will be revised and corrected.
My opinion as well, but I don’t think the measurements today are good enough to definitively say the Sun did it. The changes needed to explain the very slight warming we have seen (~1 deg) are just too small. We need a longer time period or much better measurements.
Agreed, but it is clear that the increase in solar activity during the Modern Solar Maximum has contributed to the second half of the 20th century warming. It is unfair that CO2 is subjected to a much lower standard of evidence than the Sun. I suspect this difference is due to the taxing of CO2. They haven’t found a way of taxing the Sun yet.
Nevertheless, in my opinion ~1ºC long-term is a lot in the multi-centennial scale. It is the difference of the Medieval Warm Period or the Modern Global Warming with the LIA. Let’s remember that the difference in mean global surface temperature between a glacial period and an interglacial is believed to be ~6ºC. The cooling from the Oligocene to the Mid-Pleistocene has been estimated at ~1ºC every million years!!!
“but it is clear that the increase in solar activity during the Modern Solar Maximum has contributed to the second half of the 20th century warming.”
Is meaningless unless you specify by how much, 0.05C perhaps. Since the sunspot maximum in the18th century was on par with that in the 20th you would have to assume a similar warming back then.
BTW, Frederic Clette has published an interesting [and mostly correct] article about the sunspot number revisions:
https://svalgaard.leif.org/research/Reconstructing-Past-Solar-Cycles-for-Future.pdf
You might benefit from studying the article.
Then you should tell the IPCC that, because they don’t know how much warming CO2 has caused. Can I get away with their answer and say that most if not all? If it works for them…
The sunspot maximum of the 18th century was not on par with the Modern Solar Maximum. It is not the maximum number reached at the top of the cycle, obviously, but the summation of all the sunspots during the entire cycle. Each one of them contributes to the solar activity.
When you plot the summation of sunspots for each cycle you can see that the 18th century maximum was very short, only SC 3-4 were above average. The Modern Solar maximum had SEVEN SCs 17-23 above average.

No doubt the 18th century maximum produced some warming, but it was followed by the Dalton Period, with low solar activity and high volcanic activity, so most of that warming was reversed no doubt.
Taking the integral of each period should tell a very different story than looking just for maximums.
Sun spot area should also be more accurate than pure numbers in terms of real solar activity. But probably not as easily available data.
“Then you should tell the IPCC that, because they don’t know how much warming CO2 has caused”.
What has that to do with the discussion about solar activity?
“The sunspot maximum of the 18th century was not on par with the Modern Solar Maximum”
You are not taking into account the uncertainty [of the order of 50%] of the 18th century sunspot data. The geomagnetic and cosmic ray variations point to activity on par with the MSM. E.g.
“[1] Despite the extensive use of 10Be as the most
significant information source on past solar activity, there
has been only one record (Dye-3, Greenland) providing
annual resolution over several centuries. Here we report a
new annual resolution 10Be record spanning the period
1389–1994 AD, measured in an ice core from the NGRIP
site in Greenland. NGRIP and Dye-3 10Be exhibits similar
long-term variability, although occasional short term
differences between the two sites indicate that at least two
high resolution 10Be records are needed to assess local
variations and to confidently reconstruct past solar activity.
A comparison with sunspot and neutron records confirms
that ice core 10Be reflects solar Schwabe cycle variations,
and continued 10Be variability suggests cyclic solar activity
throughout the Maunder and Spo¨rer grand solar activity
minima. Recent 10Be values are low; however, they do not
indicate unusually high recent solar activity compared to the
last 600 years. Citation: Berggren, A.-M., J. Beer, G. Possnert,
A. Aldahan, P. Kubik, M. Christl, S. J. Johnsen, J. Abreu, and
B. M. Vinther (2009), A 600-year annual 10Be record from the
NGRIP ice core, Greenland, Geophys. Res. Lett., 36, L11801,
doi:10.1029/2009GL038004.
The sunspot number [even version 2] has a problem in the 18th century: Wolf underestimated the number of groups by some 25% as I have shown in https://svalgaard.leif.org/research/Recount-of-Staudach.pdf
The number of spots per group on the Staudach drawings is abnormally low (average 2 vs. 10 normally), so the sunspot number for the 18th century is too low because both the group number and the spot numbers are too low.
Now, when you try to show the MSM you make a grave [deliberate?] error. It does not make sense to use monthly values in a 70-yr average. SILSO gives yearly values back to 1700, so re-do your graph with the yearly data and plot centered averages [the average for 1701-1770 should be plotted at 1735, not 1770]
The problem in the 18th century is with the Group Number. It does not agree with the rest of the records. From 1720 to 1760 it is significantly bigger than it should.
It is the dashed blue curve compared to all the others between 1720-60:
That’s why you get the false impresion that activity has not increased.
The group number and the sunspot number have different trends:
And the group number is the odd one out.
The group number is the only one with error bars. The two trends you show have my R-value [significance]. If R-squared is low, e.g. lower than 0.2 the trend is not significant. You carefully omitted to put R^2 on your graph [as well as clarify which trend was for what].
As I pointed out the SN is too low in the 18th century:
https://svalgaard.leif.org/research/Recount-of-Staudach.pdf because Wolf did not group spots as we do today.
Also, I dislike heavily smoothed data [that often put things under the rug]. Better is to simply plot the average of each cycle, like this:
The blue and red curves show upper and lower limits of the 1-sigma error bars. The black curve has R^2 = 0.0001 [completely insignificant]
Grrr. WordPress screws up. Here is the plot:
The group number is the odd one out. It does not agree with 14C or 10Be during 1720-1760. You can’t change that. If you convince Clette to change SN to look more like GN then both will disagree with the cosmogenic record. The cosmogenic record is out of your hands.
my R-value => no R-value
In 1970s the solar spectral irradiance was only crudely known and largely based on ground measurements (esp. Kitt Peak).
“There’s no shame in having failed to see the connection in the 70s, Leif. You just didn’t have the tools and the knowledge. The shame is in not seeing it now when we do. For as long as the focus is on TSI, and the indirect effects are kept out of the models, the connection will remain invisible to most.”
You are again distorting history. We were seeing the ‘connection’ in the 70s. At least we thought so. Unfortunately, our hopes and predictions did not pan out and the ‘connection’ was chased away by new data and improved capabilities, much to our chagrin.
” the indirect effects are kept out of the models, the connection will remain invisible to most.”
What are the ‘models’ today that incorporate any indirect effects based on physics and correct modern data [e.g. about solar activity] rather than hand waving, wishful thinking, and curve fitting?
“attempts to defend that solar activity has not increased in the past centuries will be revised and corrected”
You clearly did not take the trouble to study Clette’s account:
https://svalgaard.leif.org/research/Reconstructing-Past-Solar-Cycles-for-Future.pdf
Do that first, then come back with specific points with which you have objections [if any].
We’ll let’s see for example:
Which model incorporates the changes in the speed of rotation of the Earth and the variations in mean zonal winds in response to changes in solar activity that have been measured? NONE.
We have discussed the question of solar activity to exhaustion. The sunspot number dataset, the 14C dataset, the 10Be dataset all show increasing levels of solar activity from 1700 and the Modern Solar Maximum. I have shown it multiple times, the last one just above by plotting the total sunspot number per solar cycle. The trend goes from 9,000 sunspots per cycle in 1700 to 12,000 sunspots per cycle in 2000, a 33% increase in activity over 300 years.
Clette is a nice guy. I had an exchange with him sometime ago. He wanted to know how I did the 70-year graph that so clearly reveals the MSM. He was as ignorant of the MSM that the SILSO data reveals as you.
“The trend goes from 9,000 sunspots per cycle in 1700 to 12,000 sunspots per cycle in 2000, a 33% increase in activity over 300 years.”
Apart from the careful picking of end points [e.g. not going ll the way to 2021] the uncertainty in the very early data [1700-1750] is of the order of 50%, so your ‘trend’ is equally uncertain.
From 1750 onward we have much better data. Perhaps the best is the daily variation of the geomagnetic field which is completely quantitatively understood [can be calculated from basic physics and measured by sounding rockets]. Essentially, it is a variation of the compass needle’s deviation from pointing to true north. It was discovered way back in 1722 and is easily measured even with the simpler instruments back then and as an angle does not require calibration.The variation is a direct measurement of the solar EUV and varies with great fidelity just like the solar magnetic field and thus also like the sunspot number. So, we do know solar activity with the required precision [much better than the variation over a cycle] for the last 300 years. An inescapable conclusion is that there has not been any long-term trend over that time span. The number of magnetic storms [since the 1840’s] and the variation of cosmic rays [at least the last 600 years] also do not show any trend.
The problem with solar activity and climate change is that the sun simply has not varied enough to explain the changing climate, or put differently: we have not identified nor understood how so little [or no] solar variability can result in significant climate change. The road ahead should thus be to investigate possible mechanisms rather than eye-balling outdated and faulty graphs. The first step out of the current paralysis is to follow where the data lead rather than clinging to smear campaigns that lead nowhere.
I have described the situation more fully in
https://svalgaard.leif.org/research/Geomagnetic-Indicators-of-Solar-Activity.pdf that you are encouraged to study, learn from, and joyfully embrace.
“He was as ignorant of the MSM that the SILSO data reveals as you.”
This is simply not true. Clette has numerous times shown that the MSM is not a Grand Maximum and that there where maxima of similar amplitude in the last four centuries.
The Le Moüel ‘model’ is not a physical model, but simply some trivial curve-fitting. A real model would explain why there is the claimed relationship and incorporate the physics of the mechanism in the integration of the equations that regulate weather and climate.
Perhaps it will help you over the hump to study solar activity plotted for each of the last three full centuries:
Curve-fitting? You can’t really be that ignorant. It is a basic physical principle called conservation of the angular momment. If it is not incorporated into the models is because they don’t know how or don’t want to.
Solar activity affects the speed of rotation of the Earth. It is in the data. I have checked it personally from the LOD data. Not only that, but theory says it should affect the speed of rotation of the Earth, as the atmosphere contracts and expands in response to changes in solar activity, something you know very well.
Moreover, we know since the 70s that the speed of rotation of the Earth correlates with the changes in temperature:
Long term variations in the length of day and climatic change Lambeck and Cazenave, 1976.
Climate variations and the earth’s rotation. Jochmann & Greiner-Mai, 1996
Solar Forcing of Changes in Atmospheric Circulation, Earth’s Rotation and Climate. Mazzarella, 2008.
So we do know how solar variability affects climate. The problem is that we don’t want to know, and you are part of that problem.
So you have a lot of reading to do. The Sun has contributed to Global Warming, just not the way you always thought it should. Not through changes in TSI. By changing atmospheric circulation.
“Not through changes in TSI. By changing atmospheric circulation.”
Can you put numbers on how LOD works and why TSI doesn’t?
Can you rule out changes in circulation as a function of TSI driven temperature changes?
There was about 0.48W/m2 per year higher TSI from the Sun during the modern maximum (108.5 ave SN for 70 years) than during the centennial minimum (59.4 ave SN).
This amounts to about 33.6W more total net TSI during the 70 years of the solar modern maximum than during the centennial minimum. This big positive net total swing in accumulated solar output drove the warming in the ocean, affecting the atmosphere since then.
How many more times does LOD forcing vs TSI during the modern maximum have to be to make this extra 33.6W from TSI such an insignificant contribution?
Bob, I’ve already told Andy and Leif. Those numbers mean very little. Why? Because the incoming radiation is only half of the equation, and if you don’t know the outgoing radiation and if you assume it is constant you set yourself for failure. When the ocean receives more insolation it produces more clouds reducing the insolation. And you cannot quantify that because we cannot put good numbers to the changes in cloud cover.
Think about the following: About 19,000 years ago the obliquity of the planet was about the same as now (only increasing instead of decreasing), and precession was about the same as now. This graph shows the W/m2 difference received by the planet at each latitude due to obliquity:

And the colored curves show the seasonal distribution of insolation by hemisphere as % of current.
19,000 years ago the Sun’s output was very similar to today, and the orbital conditions of the planet were very similar to today. So the same amount of energy was reaching the Earth with the same distribution, yet in one case the planet was in a glacial maximum with the coldest condition in hundreds of thousand of years and in the other case is in a temperature optimum within a warm interglacial.
The difference is due to the outgoing energy. During the glacial maximum a lot of the solar energy was lost for the climate system due to increased albedo, decreased Greenhouse effect, and increased loss from the extended Arctic zone (large ice-sheets).
Outgoing longwave radiation is a lot more important than incoming shortwave radiation for climate change. This is because the Sun has a very constant output, while the behavior of the climate system changes a lot more. This alone demonstrates that the important part of the equation for the energy balance is the outgoing longwave radiation.
The main reason that the climate responds so much to the small changes in solar activity is, surprisingly, that solar activity determines the amount of energy lost at the North Pole during the winter. The South Pole is also affected, but it is less important because it is very isolated by the circumpolar current and the SAM.
This also explains why the North Atlantic region is so sensitive to climate change displaying more variability than the rest of the planet, as it is known since the late 20th century when Gerald Bond identified the Bond events. It is the main avenue for poleward energy transport.
Javier I didn’t see where you put your LOD forcing numbers.
“When the ocean receives more insolation it produces more clouds reducing the insolation. And you cannot quantify that because we cannot put good numbers to the changes in cloud cover.”
The principle you speak of is a feature of my work. Cloud cover was highest in the modern era after the highest solar activity, and has fallen off with lower solar activity.
http://climate4you.com/images/CloudCover_and_MSU%20UAH%20GlobalMonthlyTempSince1979%20With37monthRunningAverage%20With201505Reference.gif
“Outgoing longwave radiation is a lot more important than incoming shortwave radiation for climate change.”
The red lines below are OLR. How is OLR>Solar?
http://climate4you.com/images/OLR%20Global%20NOAA%20and%20UAH%20MSU%20since%201979.gif
The solar cycle influence is evident throughout the HadSST3 data, whereas the OLR link is not obvious.

“but theory says it should affect the speed of rotation of the Earth, as the atmosphere contracts and expands in response to changes in solar activity,”
The part of the atmosphere that responds to solar activity is a million times less than the rest of the atmosphere [the density decreases by a factor of 1000 for each 50 km in altitude] so has no effect.
The changes of LOD are mainly caused by the general lower atmospheric circulation [not by the atmosphere contracting and expanding].
In any case, since solar activity has not had any long-term trend the last 300 years, bringing in the LOD and its purported dependence on solar activity is moot.
You say so. The evidence says otherwise. Troposphere+Stratosphere is 90 km. Thermosphere, the part that responds the most to solar activity is 90 to 600+ km. So we have over 500 km of atmosphere contracting or expanding in response to solar activity. And the angular momentum is proportional to the radius.
Besides, in response to low solar activity there is a Puzzling Collapse of Earth’s Upper Atmosphere. So as usal you are very certain of things you don’t know, because nobody knows. The atmosphere responds to solar activity a lot more than expected.
The increasing trend in solar activity for the past 300 years isn’t needed to explain the 300 years warming. It is just another one of your unsupported presuppositions that it is a requirement. A sufficiently high constant level of solar activity would be equally capable of producing the warming that has taken us out of the LIA and into the present state. The only requirement is that the average solar activity over the period is sufficient to cause warming together with the rest of the factors that affect surface temperature. Nevertheless the trend is present in cosmogenic isotopes record and in the sunspot number record.
“And the angular momentum is proportional to the radius.”
And to the mass. The mass above 90 km is a million times smaller than the mass of the troposphere. It is well known that changes in LOD originate from below, so even from below the surface [as deep as the core].
“Nevertheless the trend is present in cosmogenic isotopes record and in the sunspot number record.”
Not at all:
You forget that the effect of solar activity extends to the stratosphere:
Direct and indirect effects of solar variations on stratospheric ozone and temperature
And even the troposphere:
Observed Tropospheric Temperature Response to 11-yr Solar Cycle and What It Reveals about Mechanisms
So the reason why changes in solar activity affect LOD is clear. It affects the atmosphere and its circulation.
And the effect is also known:
Solar cyclic variability can modulate winter Arctic climate
Our knowledge expands rapidly in that direction, despite being an ill-considered topic. You are just plain wrong.
The positive trend in sunspot number and cosmogenic record is in the datasets. One only has to download them and check them to see that you are misleading people on this.