by Nic Lewis
The determination of equilibrium climate sensitivity (ECS)—the long-term warming response to doubled atmospheric CO2 concentrations—remains one of the most crucial yet challenging problems in climate science. Recent exchanges in the literature have highlighted both the complexity of this endeavor and the importance of maintaining rigorous methodological standards in the pursuit of reliable estimates.
Background and Context
In 2020, Steven Sherwood and twenty four co-authors published a comprehensive assessment of Earth’s climate sensitivity (S20) that claimed to substantially narrow the ‘likely’ (66% probability) uncertainty range to 2.6–3.9°C, with a best estimate of 3.1°C. Their assessment was undertaken under the auspices of the World Climate Research Programme’s Grand Science Challenge on Clouds, Circulation and Climate Sensitivity, following a 2015 workshop that I participated in at Ringberg Castle in Germany.
S20 has been an exceptionally influential study. Its observationally-driven ECS approach and range was approximately adopted in the 2021 IPCC sixth assessment report (AR6). This represented a significant departure from the broader ranges that had persisted in IPCC assessments since the late 1970s: previous IPCC best estimates had usually been 3°C, but their uncertainty ranges had remained much wider, almost always spanning 1.5°C to 4.5°C. Moreover, AR6 gave a 90% probability (‘very likely’) range for the first time, of 2.0–5.0°C, widened slightly from the S20 estimate of 2.3–4.7°C.
In 2022, I published a detailed peer-reviewed examination (Lewis22) of S20’s methodology, identifying what I believed to be several significant issues with their analysis. My revised assessment, using their basic framework but with corrected and improved methodologies and carefully justified updatings and other revisions to some of their input data, suggested a substantially lower and narrower likely range for ECS of 1.75–2.7°C, with a median estimate of 2.16°C, and a 90% probability range of 1.55–3.2°C .
As in S20, ECS estimation in Lewis22 was based on combining historical period evidence with that from the Last Glacial Maximum (LGM) and mid-Pliocene Warm Period (mPWP) paleoclimate periods, and from process understanding (estimates of individual climate feedbacks). Like S20, Lewis22 actually estimated S, the usual proxy for ECS in GCMs, which is generally slightly lower than their estimated true ECS. The two terms are only distinguished here when discussing their relationship.
In 2024, Sherwood, together with another scientist, Chris Forest,[1] published an opinion piece in Atmospheric Chemistry and Physics journal (ACP) questioning whether climate sensitivity uncertainty had really been narrowed since S20, and specifically challenging several aspects of my 2022 analysis. I considered that their article contained fundamental mischaracterizations of my work that warranted clarification, along with broader methodological concerns that merited discussion. My endeavor to do so has now been published in ACP as ‘Comment on “Opinion: Can uncertainty in climate sensitivity be narrowed further?” by Sherwood and Forest (2024)‘.
Methodological Errors and Inconsistencies in the original Sherwood et al. study
My 2022 study identified several methodological problems in the S20 analysis, some of which significantly affected their results. Sherwood and Forest claimed, incorrectly, that these merely represented “differences in opinion on methodological choices and priors”, not errors, and that “they moreover were acknowledged to have little effect on the outcome”.
The most fundamental error involved was the use in S20 of an invalid likelihood estimation methodology. The likelihood function—which quantifies how well different values of the parameter being estimated match observational evidence—is fundamental to Bayesian estimation, indeed to all statistical estimation of uncertain parameters. Lewis22 used three quite different likelihood estimation methods,[2] which all produced the same results. Moreover, S20 used an uncertainty estimate that was a factor of ten lower than stated for Paleocene-Eocene Thermal Maximum (PETM) CO2 forcing, due to a coding error[3].
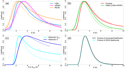
The resulting errors in S20’s likelihood estimates are shown in Figure 1.The estimates of historical and PETM evidence likelihoods at high climate sensitivity values were particularly affected. Although S20 did not use PETM evidence for its main results, and the underestimation of historical likelihood at high ECS values had only a small effect on the combined-evidence likelihood, unsound derivation of likelihoods is a very serious statistical error. Sherwood has admitted, in a detailed comment (here: CC1) during the peer review process prior to my Comment on their 2024 opinion piece being accepted, that the sampling method S20 used to derive its likelihoods was “probably not optimal”, but has not published any related correction to S20.

Fig. 1 Reproduced from Lewis22 Fig.2. Likelihoods for S based on S20’s data-variable assumptions as derived in Lewis22 (solid lines) and, for comparison, those shown in S20 (dotted lines). (a) Likelihoods from evidence for the three paleoclimate periods. (b) Likelihoods from Process evidence and from combining Paleoclimate evidence for the LGM and mPWP. (c) Likelihoods from Historical evidence for both S and Shist(S without an adjustment for the historical pattern effect). (d) Likelihoods from combined Process, Paleoclimate (LGM plus mPWP), and Historical evidence.
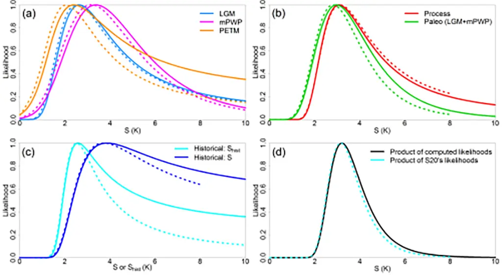
Additionally, Lewis22 identified a mathematically incorrect treatment in S20 of CO2 forcing estimates used to estimate ECS process and historical evidence. When deriving ECS from climate feedback estimates, they used an effective radiative forcing (ERF) value for a doubling of CO2 concentration (F2×CO2) based on fixed sea surface temperature (SST) simulations, while they should have used regression-based forcing estimates, which are lower. This unjustifiable choice biased S20’s process and historical evidence-derived estimates upward by approximately 16%. This issue is illustrated in Figure 2, using data for a typical GCM.
Fig. 2. Reproduced from Lewis22 Supporting Information Fig.S1.1. Illustration of the need to reduce the fixed-SST simulation based estimate of the actual F2×CO2 to a linear regression based estimate to avoid overestimation of S. The grey dots show annual mean values over 150 years after CO2 concentration is abruptly quadrupled in a representative GCM, MRI-ESM2-0, scaled to a doubling of CO2. The black line shows the regression fit and, at its x-axis intercept (the definition of S), the resulting correct S estimate of 3.08 K (3.08°C). The slope of the black line is λ, the climate feedback value that both S20 and Lewis22 estimate. The black line’s y-axis intercept is the regression-based estimate of F2×CO2. This is lower than the more accurate fixed SST simulation based value shown by the magenta cross, due to the actual relationship between the x-axis variable (global warming) and the y-axis variable (the top-of-atmosphere radiative imbalance) being non-linear, with–as in almost all GCMs–a steeper initial slope than that after a decade or two. The red line and its x-axis intercept show the overestimation of S resulting from dividing λ into the fixed SST estimate of F2×CO2, which is what S20 did. For process evidence this is obvious, since λ was estimated so as to be consistent with λ in CO2 quadrupling GCM simulations. For historical evidence, the steeper blue line corresponds to estimation of Shist; to estimate S its slope was adjusted to correspond to λ, again resulting in estimation corresponding to the red line and an excessive S estimate. In both cases use of a regression-based F2×CO2 value is required for correct estimation of S, despite that F2×CO2 value being an underestimate of the true value.
Also, S20 converted their paleoclimate based estimates of true equilibrium climate sensitivity to estimates of S using an ECS to S ratio (1+ζ) estimated by comparing ECS derived from long GCM CO2 doubling simulations, with S derived from 150 year CO2 quadrupling simulations by the same eight GCMs. They scaled the CO2 quadrupling simulation based estimates down by a factor of two, rather than by the true ratio of ERF from a quadrupling of CO2 (F4×CO2) to F2×CO2 of about 2.1. This resulted in an inconsistency between S20’s paleoclimate estimates of S and those from its process and historical evidence (which were based on estimates of F2×CO2, not of F4×CO2/2). Lewis22 avoided this inconsistency by basing its estimates of the ECS to S ratio on comparison of estimated true ECS with S estimated from regression over the first 150 years, separately within each of sixteen long CO2 doubling or CO2 quadrupling GCM simulations, avoiding the need for any F4×CO2 to F2×CO2 scaling factor[4].
These issues represent more than methodological preferences—they constitute conceptual errors and inconsistencies that materially affected the final results. When I corrected these problems while retaining all other aspects of S20 analysis, the climate sensitivity estimates shifted substantially downward.
Clarifying Misrepresentations
Sherwood and Forest’s article contains several significant mischaracterizations of my work. Most importantly, they claim that by rejecting the possibility of a large historical ‘pattern effect’ and downwardly revising estimated historical aerosol cooling, Lewis22 had concluded that “the historical record rules out a high ECS level.” This characterization is entirely incorrect.
My analysis of historical evidence alone yielded a 90% uncertainty range of 1.2–7.6°C, which clearly does not rule out high sensitivity values. Even with the addition of a reasonable prior constraint (0 < ECS < 20 °C), based on the Earth not having experienced runaway warming or cooling, the range was 1.15–6.1°C. Both ranges substantially exceed the 4.7°C upper (95%) bound from S20’s combined-evidence estimate.
The narrowing in my final estimates resulted from combining multiple independent lines of evidence—process understanding, historical observations, paleoclimate reconstructions—using appropriate statistical methods, with a prior distribution designed to have minimal influence on the results. This is precisely how one expects Bayesian analysis should work when evidence is combined: no single line of evidence may rule out particular values, but their combination may provide strong constraints.
The Challenge of Aerosol Forcing Uncertainty
One reason historical evidence alone cannot definitively constrain high ECS values lies in the substantial uncertainty surrounding historical aerosol forcing. Aerosols from fossil fuel burning and other anthropogenic sources have provided uncertain amounts of cooling that have partially masked greenhouse gas warming, creating a fundamental difficulty in interpreting the historical temperature record.
In Lewis 2022 I revised the aerosol forcing distribution used in the original S20 analysis, reducing the probability assigned to very strong cooling, based on observational constraints. However, this revision followed evidence from other researchers against very strong aerosol cooling, and importantly, had minimal impact on my final combined-evidence ECS estimates. When I reverted to S20’s original aerosol assumptions while maintaining all other revisions, the median Lewis22 ECS estimate changed by less than 0.05°C. Lewis22 did not test using the AR6 aerosol distribution, however its median value is almost identical to that of S20’s aerosol distribution.
This demonstrates that my study’s lower ECS estimates were not driven by its revision to aerosol assumptions, contrary to the assertions in Sherwood and Forest’s critique of Lewis22.
Reassessing the Pattern Effect
The “pattern effect”—how the geographical distribution of SST warming affects climate feedbacks—represents another area where Sherwood and Forest’s 2024 opinion piece challenged my analysis. While I had adopted a smaller estimate based on my evaluation of the available evidence, they argued that recent studies strongly support a large historical pattern effect. Sherwood doubled down on this in his comment (CC1) on my 2025 manuscript, writing that Lewis22 argued in particular that “the aerosol forcing and historical pattern effect were each smaller and better known than in either S20 or AR6”.
In fact, more recent work by Modak and Mauritsen (2023) supports smaller pattern effect estimates, obtaining a slightly lower estimate than per Lewis22 when averaged across multiple SST datasets. Notably, they found that the most commonly used, AMIPII, SST dataset, which produces the largest pattern effect estimates, appears to be an outlier among available datasets.
Moreover, upon examining the three studies Sherwood and Forest cited, I found that two of them focused on recent decades (post-1980 and post-2000) rather than the full historical period relevant to climate sensitivity estimation in S20 and Lewis22. The third study, when its data from an alternative SST dataset to AMIPII is analyzed using approaches that minimize bias from interannual variability and account for model structural similarities, yields an estimate closely in line with my adopted value.
As regards how well the historical pattern effect is known, in L22 I adopted the same large estimate of the degree of uncertainty involved as Sherwood et al. used in S20 and the IPCC assessed in AR6.
Statistical methodology and Prior selection
Beyond specific technical disputes lies a more fundamental disagreement about statistical methodology. For scientific inference to be reliable, the statistical methods employed must be calibrated to produce uncertainty ranges that approximate true confidence intervals. Where the data are weak, this requires either objective Bayesian methods with noninformative priors or frequentist approaches—both of which are designed with this goal in mind.
The original Sherwood et al. study employed what statisticians term a “subjective Bayesian” approach, incorporating a prior distribution for the parameter being estimated based on expert judgment. Such an approach may produce very ill-calibrated uncertainty ranges, although in S20’s case the chosen prior (a uniform prior in λ) was close enough to a noninformative one that the mis-calibration was minor.
In Lewis22, I adopted an “objective Bayesian” methodology using a computed Jeffreys’ prior for the combined evidence, designed to minimize the influence of the prior on the resulting estimate. Note that this is different from using an objective (noninformative) prior for one line of evidence and using the resulting posterior pdf as the prior for estimation from the likelihood from the next line of evidence analyzed, and so on. Although such ‘Bayesian updating’ is standard statistical practice, contrary to general belief it is not soundly based mathematically and it may not result in well-calibrated estimation. See here.
The distinction between subjective and objective Bayesian estimation matters significantly when dealing with highly uncertain parameters like ECS. Subjective Bayesian methods are not designed to produce well-calibrated confidence intervals, and their uncertainty ranges can be severely biased when data are insufficient to dominate prior assumptions—a common situation in climate sensitivity estimation.
I demonstrated this problem in my Comment article by showing that a seemingly reasonable uniform prior in ECS (spanning 0–20°C), as used in the IPCC AR4 report, produced unreasonable results when applied to S20’s historical evidence alone, yielding a median estimate of 8.5°C with a 95% bound of 18.6°C, compared to a median estimate of 4.2°C with a 95% bound of 13.7°C when using a noninformative computed prior. The mathematical properties of a uniform prior in ECS makes it highly informative rather than neutral in this case, concentrating probability at extremely high values.
Steven Sherwood claimed in his comment (CC1) that “The main impact of L22’s objective prior is to narrow the pdf—i.e., claim ECS to be known more confidently.” The truth is the opposite. Adopting L22’s objective prior in place of S20’s prior actually widened and slightly raised S20’s ECS range. I provided a full response (AC2) to all the points in Sherwood’s comment.
Structural Model Uncertainties
Both Sherwood and Forest and I agree that structural uncertainties in the models used may affect ECS estimates. They focused on assumptions in ‘forward’ models used to predict what would be observed given a particular ECS, however these typically include assumptions based on GCM behavior.
The most significant structural uncertainty may concern tropical warming patterns. Climate models consistently predict that greenhouse warming should weaken the east-west temperature gradient across the tropical Pacific, with the eastern regions warming faster than the western regions, contrary to what appears to have happened during most of the historical period warming. This predicted pattern change underlies the weakening of climate feedbacks over time in GCM simulations, which contributes to their higher ECS estimates and underlies the pattern effect based upwards adjustment to climate sensitivity estimates based directly on historical warming and forcing (Shist).
However, several recent studies suggest that this predicted pattern change may be unrealistic, with western Pacific sea surface temperatures actually being more sensitive to greenhouse gas forcing than eastern Pacific temperatures, contrary to model predictions. If correct, this would imply that the feedback weakening simulated by models over 150-year timescales following abrupt CO2 increases is also unrealistic.
This structural uncertainty affects not only historical ECS estimates but also those based on process understanding and emergent constraints, since these typically rely on model behavior that incorporates the potentially erroneous tropical warming patterns. If the GCM-predicted weakening of the tropical Pacific east-west temperature gradient is not realistic, all these types of ECS estimates would likely be biased toward overestimating ECS. Even if the Pacific east-west temperature gradient does eventually weaken to the extent simulated by GCMs, a multidecadal-to-centennial delay in that weakening could imply a significantly lower warming this century than implied by GCM behavior.
Summary
My 2022 analysis systematically addressed multiple aspects of the original Sherwood et al. study, correcting erroneous likelihood computation, replacing unsatisfactory methodological choices that resulted in biased and/or inconsistent estimation with more appropriate ones, and revising certain input data assumptions–mainly updating them based on more recent evidence. The resulting ECS estimates were lower and more tightly constrained.
My published Comment includes a detailed sensitivity analysis that I conducted, which shows how different classes of revisions contributed to the differences between the S20 results (after correcting S20’s likelihood errors and adopting computed Jeffreys’ priors, which slightly raised the S20 ECS estimate) and the final Lewis22 results. The largest contribution (55% of the total reduction in median ECS) came from remedying the F2×CO2 and the ECS-to-S ratio estimation to avoid bias and inconsistencies, and updating the S20 estimates of non-aerosol forcing and of the ratio of ocean surface air temperature to SST warming, using IPCC AR6 values. These changes should be uncontroversial. Most of the remaining reduction came for reappraising LGM cooling and forcing estimates, and using more recent and appropriate estimates for two mPWP-specific ratios. The justification for each of these revisions is discussed in my published Comment on Sherwood and Forest’s article. In the light of conflicting evidence and resulting large uncertainty concerning cloud feedback and aerosol forcing, the Lewis22 revisions to those items, and possibly also to pattern effect estimates, are more uncertain. However, even without adopting any changes to the S20 estimates of those three items, over 80% of the reduction in median ECS in Lewis22 is retained.
Implications for Climate Science
The exchange with Sherwood and Forest highlights several important issues for the climate sensitivity estimation field.
First, the reluctance to abandon statistical methods that can produce systematically biased results is concerning. The continued use of subjective Bayesian approaches for ECS estimation, despite their known limitations when data are weak, compromises the reliability of ECS estimation.
Second, the possibility that fundamental aspects of climate model behavior—particularly tropical warming patterns—may be incorrect has broad implications. If models systematically overestimate the weakening of climate feedbacks over time, this could affect not only ECS estimates but also projections of near-term warming rates and regional climate changes. Resolving this issue should be a key objective.
Third, careful methodological scrutiny is important. Climate sensitivity estimates inform policy decisions with enormous economic and social consequences. Ensuring that these estimates are based on rigorous and unbiased analysis is essential for maintaining public trust in climate science.
Moving Forward
My intention in my published Comment and this article has been to contribute to a more accurate understanding of climate sensitivity estimation, in particular by correcting misunderstandings of the causes of the differences between estimates in S20 and in Lewis22. The poor understanding displayed in Sherwood and Forest’s article of the effects of the revisions made to historical aerosol forcing and pattern effect estimates, and by their claim that as a result in Lewis22 the historical record rules out a high ECS level, are worrying. It is clear from L22’s results tables that the historical record does not rules out a high ECS level−it is paleoclimate and process evidence that do so. Steven Sherwood’s incorrect assertions in his comment (CC1) on my 2025 manuscript that the main impact of L22’s objective prior is to narrow the pdf [for ECS], when it in fact Lewis22 showed that it slightly widens S20’s pdf, and that L22’s multiplication of fixed-SST F2×CO2 estimates by 0.86 when estimating S from process and historical evidence introduces n inconsistency between forcing and feedback, when it actually avoids such an inconsistency, are also concerning.
The ongoing debate over climate sensitivity reflects the inherent difficulty of the problem, and some methodological weaknesses–particularly regarding statistical issues–in published research, rather than any fundamental disagreement about the reality of human-caused climate change. While climate sensitivity research has progressed substantially over the last decade or two, significant uncertainties remain. Debate and disagreements are healthy, but should centre on evidence and its interpretation, not on baseless claims.
[1] Ironically, Forest was lead author of a key ECS study in the IPCC’s fourth assessment report (AR4) that Lewis had shown in a peer reviewed 2013 paper to be riddled with errors in its likelihood estimation. Surprisingly, although Forest (with his joint author) corrected those errors in a later study using the same methodology, he never corrected the same errors in his AR4 study – which has been cited nearly fifty times since my 2013 paper showed it was erroneous.
[2] Two for historical evidence, as the third method was defeated by S20’s highly asymmetrical aerosol forcing distribution. See Lewis22 Supporting Information Figs. S1, S2, and S3
[3] I pointed this coding error out to the S20 authors in September 2022. They have now corrected this error in the online version of S20, albeit without acknowledgement of my having notified them of it
[4] Even when using their method, S20 would have estimated the ECS to S ratio at a value very close to that derived in Lewis22 had they not included an outlier CO2 quadrupling simulation result from a GCM in which it exhibited near runaway warming.

One of the many failures in climate modelling is downplaying the role of the sun. Temperature is the consequence of solar power not solar energy. A very important distinction that not many grasp.
The attached charts compares the change in the Sun Z-axis position and UAH TLT over the satellite era.
Throughout that period, the Z-axis position has trended upward. It reached its northern extent in the present oscillation in 2024.
I remain highly confident that direct CO2 temperature sensitivity is unmeasurable from zero.
The CERES data proves that the most significant change this century is reduction in Earth’s reflectivity, some of which is related to reduced cloud. There has to be a plausible connection between reducing reflectivity and CO2 to make a case for CO2 altering the radiation balance. It is certainly not the result of reduced OLR because that has increased.
The sun’s z-axis affects the climate how? Didn’t you notice the anti-correlation around 2016? The trend was negative since 1998 until 2016 while the temperature increased. Why the inconsistency?
Temperature is the measure of thermal energy.
Solar power (W) over time is solar energy (J).
1 J = 1 W-sec
Observational ECS can only be useful if all natural factors are known. Of course, they aren’t. The 2022 Hunga-Tonga eruption is a great example. We have already started to cool now which makes the previous claims of low impact look silly.
The other main contributors we know about include the AMO, PDO and millennial cycle (LIA, MWP, etc.). But, all we know about them is they occur. There is much debate about the causes. This should tell us that observation ECS is a waste of effort at this time.
I really think skeptics should be focused on the lack of any change in the greenhouse effect within CERES data. Skeptics should be focused on why this result occurs.
I doubt Hunga Tonga had much impact. The temperature peak was 2 years after the eruption as your temperature plot shows and better aligns with the Sun northward excursion out of Earth’s orbital plane that alters declination.
Maybe..maybe not. Some things take time.
Hunga-Tonga also emitted SO2 which initially countered much of the warming effect. As the SO2 settled out, the warming effect took over.
Anyone that thinks HT didn’t also impart a lot of heat energy into the ocean, is not paying any attention to reality.
Almost certainly the cause of the drop in Antarctic sea ice extent in 2023.
The 2023 Antarctic sea ice extent reduction, like the El Niño, resulted from the ocean’s absorbed solar radiation in 2023, not from Hunga-Tonga a year before.
Why did the ’23-24 event need a HT eruption when ’97-98 didn’t?
“Why did the ’23-24 event need a HT eruption when ’97-98 didn’t?”
It didn’t “need” it. The HT eruption just contributed a bit of extra at the start…
… and slowed down the cooling.
missed the image, sorry.
The dot is the start point of each El Nino event, normalised to zero, with the time axis starting at 1 being January of 1997, 2015 or 2023
How did HT impart heat into the ocean? What mechanism are you assuming here?
There’s a major loss in clouds which correlates exactly with the HTe. That would warm the oceans which then warmed the atmosphere.
The mechanism is another issue. I can’t locate it now, but I remember someone was claiming it was chlorine from all the salt water which led to the cloud loss through an interaction with ozone.
There were other times when cloud cover changed as much or more as after Jan. 2022, were those times also preceded by a HT-like eruption?
A huge amount of heat energy, still results in an almost immeasurable increase in actual temperature. The oceans are huge and the amount of energy needed to warm it is even greater.
The energy added to the ocean… moisture added to the stratosphere…
… this caused an early start to the El Nino event, and slowed the rate of cooling from that event.
Slowed the rate of cooling, how?
Lots of water vapor in the stratosphere.
But bnice doesn’t believe in a greenhouse effect I thought. Maybe I am not remembering correctly or he’s changed his opinion. (That’s allowed!)
Sorry for speaking for bnice, but I thought he didn’t believe that CO2 has any greenhouse effect. H2O he’s acknowledged.
“We have already started to cool now which makes the previous claims of low impact look silly.”
This was a nonsensical statement as no one has demonstrated HT caused the 2023 warming!
T2m change in 2023 was not much different than the change in 2015 T2m. Why does anyone think HT was necessary in 2023 when it wasn’t necessary in 2015 when a similar T2m change happened?
HT didn’t “cause” the 2023 warming… but it did contribute to the 2023 El Nino.
You HT folks typically do not support your assertions with anything other than mildly circumstantial evidence, nor do you answer disagreements with weighty counter evidence.
I’m waiting for a rationalization of why HT was needed in ’23-24 but not in ’97-98 or ’15-16.
The change in 2014 (it started before 2015) was likely the change in the PDO and the decrease in Antarctic sea ice. In 2015, we added El Nino which we also had in 2023-24.
Now look at 2025. What is causing the cooling? El Nino ended in May 2024. There was a slight cooling at that time indicating El Nino wasn’t very strong. Along comes 2025 where we get strong cooling while moving from La Nina conditions to ENSO neutral. Sorry, makes no sense to blame ENSO.
It all fits together if you factor in the SO2 emissions from HTe delaying the warming effect until 2023. This enhanced the warming from the 2023 El Nino which wasn’t that strong in and of itself.
Until recently the PDO correlated well with ENSO, but didn’t precede it. It’s not likely that the PDO caused ENSO activity in 2015-16. I can show otherwise.
What do you mean ‘what is causing the cooling?‘? It always cools after a peak!!!
Whenever sea ice melts, the SST will cool from the melted ice water, so sea ice melt is a negative feedback from the ASR-driven El Niño, contributing to La Niña cooling.
The 2023-24 event is fundamentally no different than previous excursions, the present cooling is completely in line with the fade off the El Niño peak, as before.
No impressively outstanding HT influence can be discerned from this data:
HT had no effect in the same manner CO2 had no effect. The null hypothesis stands.
The HadSST4 data is detrended in your chart.
What has caused the warming trend since 1980, if we’re ruling out CO2?
Why is the trend linear when CO2 growth isn’t? Why is the rise so variable if the supposed CO2 driver trend is co consistent.?
The Millennial trend, the AMO and the Hunga-Tonga. Now you get to see what happens when cycles reverse.
What caused the warming since the depths of The Little Ice Age, which began nearly a century BEFORE the industrial revolution and more than two centuries BEFORE “meaningful human emissions” of CO2 supposedly began post WWII?!
The notion that CO2 is the “cause” of anything is nothing more than hypothetical bullshit. An “academic discussion” with zero empirical evidence to support it and a good deal of empirical evidence that contradicts it.
I believe you are missing the effect right in front of your eyes. Thanks for the nice graph. It’s in there. Notice the much stronger blue peaks in 1997 and 2023. This is because both them were enhanced by a cloud effect.
In 1997 is was the AMO transition which caused the cloud effect while in 2023 it was HT.
“The ongoing debate over climate sensitivity reflects the inherent difficulty of the problem, and some methodological weaknesses–particularly regarding statistical issues–in published research, rather than any fundamental disagreement about the reality of human-caused climate change.”
Sorry Nic but I think you’re beating a dead horse. Today you should be more worried about how cli-sci is going to ever get over their institutionalized inverted thinking.
If this thing were real it should all be so cut-and-dry by now 40+ years into modern climate science.
There will always be an ongoing debate over CO2 climate sensitivity as long as there are people who believe in human-caused climate change via CO2 – it won’t be settled as it is a falsified theory.
There is no debate over it amongst us non-believers. Join us, it’s less stressful, easier, and cheaper.
The entire problem with climate science today was the starting assumption in the 1980s that the temperature is controlled by CO2 when it is not. The fact is the temperature controls CO2 to a large degree, especially since considering not all the CO2 increase was from emissions.
“If this thing were real it should all be so cut-and-dry by now 40+ years into modern climate science.”
but… but…. they say the science is settled! /s
“The ongoing debate over climate sensitivity reflects the inherent difficulty of the problem, and some methodological weaknesses–particularly regarding statistical issues–in published research . . .”
Whoever made that statement apparently does not recognize that nature has “already run the experiment and provided the empirical data” for examining the limit case for ECS as relates to atmospheric CO2, as follows:
To be conservative, let’s just assume (ignoring the wisdom of Happer, Lindzen and other eminent climate scientists) that the greenhouse effect is NOT YET saturated with respect to the ability of additional atmospheric CO2 to absorb additional LWIR emitted off Earth’s surfaces.
Independently, we should logically expect that ECS will be following an exponential mathematical relationship as is common in atmospheric physics associated with transmission of radiation (e.g., the Beer-Lambert Law); that is, ECS = T(2xCO)-T(current CO2), based on T=e^(-k*ppmCO2) scaling, where k is the empirically-derived constant for all of Earth’s lower atmosphere (this is, it encompasses all active feedback mechanisms).
Now the evidence is that from “pre-industrial” times to the present, the concentration of CO2 in Earth’s atmosphere has risen from about 280 ppmv (https://www.noaa.gov/news-release/carbon-dioxide-now-more-than-50-higher-than-pre-industrial-levels ) to around 425 ppmv today.
And, independently, Google’s AI bot states “When used in the context of climate change and discussions around global warming, the reference period of 1850-1900 is commonly used to approximate pre-industrial global mean surface temperature (GMST)”. So, let’s take the period from 1850 to 2025 as the interval to calculate ECS based on the changes in GMST and atmospheric CO2 concentration over that time, keeping in mind that ECS is defined as the temperature change associated with a doubling of atmospheric CO2 concentration.
NOAA states “Earth’s temperature has risen by an average of 0.11° Fahrenheit (0.06° Celsius) per decade since 1850, or about 2° F in total” (https://www.climate.gov/news-features/understanding-climate/climate-change-global-temperature ). However, that same webpage goes on to state that in 2024 “It was 2.62 °F (1.35 °C) above the pre-industrial average of 56.7 °F (1850-1900)”. To calculate maximum potential ECS, let’s go with the 2.6°F rise from the average of 56.7°F, and remember that mathematical calculations need to be based on absolute temperatures.
Finally, let’s also follow the AGW/CAGW alarmists assertion that all the rise in lower atmospheric temperature since pre-industrial time is attributed solely to CO2 emissions into the atmosphere (including possible feedback couplings from CO2 changes). So, while CO2 has changed 425 ppmv/280 ppmv = 1.52, global lower atmospheric temperature has changed by (2.6+56.7+459.7)/(56.7+459.7) = 1.0050.
Plugging these empirically-obtained values into the exponential representation for ECS, we can calculate the value for k:
T2/T1 = 1.0050 = e^(-k*425)/e^(-k*280), or ln(1.0050) = (-k*425)-(-k*280) = k*(280-425), or k = ln(1.0050)/(280-425) = -3.44e-5.
Using this value, we can again use the exponential relationship to derive the absolute temperature change associated with a doubling of atmospheric CO2:
T2/TI = e^(3.44e^-5*(2*425))/e^(3.44e^5*425) = 1.0147.
So, starting from today the ECS, and based on empirical data over the last 175 years, we can very conservatively predict an ECS of at most 0.0147*(519) = 7.6°R = 7.6°F assuming atmospheric CO2 concentration going forward rises from 425 ppmv to 850 ppmv. Big assumption, that!
With respect to the 7.6°F maximum possible ECS as I calculated above, I note with some amusement this statement in the above article:
“In 2020, Steven Sherwood and twenty four co-authors published a comprehensive assessment of Earth’s climate sensitivity (S20) that claimed to substantially narrow the ‘likely’ (66% probability) uncertainty range to 2.6–3.9°C’ “ . . . 3.9°C is 7.0°F. It took 24 authors to get there? . . . and this was as recent as 2020?
Personally, considering all the conservatism included in my above assumptions and that it is a straightforward limit-case analysis (most significantly, totally ignoring that the greenhouse effect of CO2 is almost certainly saturated at its current level, thank you Will Happer, et.al. !), I can easily accept ECS (as based on CO2 changes) currently being 0.0 °F.
It is. Other than in fringe places on the internet. Like here.
Argument from authority. Argument that “consensus” means a damn thing in ACTUAL science. Which reveals how vacuous your incessant bleating is.
If not for trillions thrown at what is laughingly called “climate science” by governments, we wouldn’t even be talking about “climate change,” because there is nothing alarming going on and the “change” over the period being examined has in fact been 100% beneficial.
Eisenhower was a prophet. He could see that science was going to become a political football due to the amount of it that was becoming funded by and/or done at the direction of the federal government. And here we are, facing the most naked power grab in human history all driven by junk science and propaganda.
REAL science is generally advanced by those who oppose supposed “prevailing” points of view, not by the self important idiots defending fashionable paradigms.
The radiative forcings, feedbacks and climate sensitivity used in the climate models are pseudoscientific nonsense. When the CO2 concentration was doubled in the one dimensional radiative convective (1-D RC) model described by Manabe and Wetherald in 1967 (MW67) , it created an increase in surface temperature of 2.9 °C for clear sky conditions. This was a mathematical artifact of the model calculation. However, it established a warming benchmark for all future climate models. Later this CO2 doubling response became known as the ECS. It was produced by a combination of three fundamental errors in the MW67 assumptions.
First, it was assumed that there was an exact flux balance at the top of the atmosphere (TOA) between an average absorbed solar flux and the average long wave IR (LWIR) flux returned to space. When the CO2 concentration is doubled from 300 to 600 ppm, there is a small decrease in the LWIR flux at TOA within the spectral range of the CO2 band emission. In the real world, this produces a decrease in the rate of cooling (or a warming) of the troposphere of +0.08 °C per day at low and mid latitudes. This is too small to detect in the normal daily and seasonal temperature variations in the surface and near surface temperatures. Any additional heat released into the troposphere is returned to space by wideband LWIR emission, mainly by the water bands. At a lapse rate of -6.5 °C per km, a warming of +0.08 °C is produced by a decrease in altitude of about 12 meters. This is equivalent to riding an elevator down 4 floors.
In MW67, the model was forced to return to an equilibrium state using a time step integration algorithm. The relative humidity distribution was also fixed and this introduced a water vapor feedback. A radiative transfer calculation was performed using the model temperature and species atmospheric profile. The net change in LWIR flux was calculated for each of the 9 or 18 levels in the model. These were converted to rates of heating by dividing by the local heat capacity and multiplied by the 8 hour time step to obtain the temperature change. These in turn were added to the temperatures of each model layer. The water vapor concentrations were adjusted for the new temperatures and the process was repeated for the next step, until the model stabilized out at a new, warmer set of temperatures. This process required about 1100 steps, or a year of model step time. In the real world, the small changes in temperature and humidity at each model step are overwhelmed by the normal daily and seasonal changes and do not accumulate over time. There can be no climate sensitivity to CO2 or other greenhouse gases. Nor can there be a water vapor feedback.
The MW67 model algorithms including the warming artifacts were incorporated into the first GCMs by Manabe’s Group in 1975 and then by Hansens’s group in 1983. These are the source of the 3 ±1.5 °C climate sensitivity in the Charney Report. All later models have been ‘tuned’ to give similar pseudoscientific climate sensitivities. Any climate model that has an ECS larger than ‘too small to measure’ is fraudulent. There is no need to look any deeper into the model configuration or the model code.
This is discussed in detail in Clark, R, (2024), “A Nobel Prize for Climate Modeling Errors”, Science of Climate Change 4(1) pp. 1-73. https://doi.org/10.53234/scc202404/17
Further information on climate energy transfer related to the diurnal cycle is given by
R. Clark and A. Rörsch, (2023), Finding Simplicity in a Complex World – The Role of the Diurnal Temperature Cycle in Climate Energy Transfer and Climate Change, Clark Rörsch Publications, Thousand Oaks, CA. Further details and supplementary material are available at:
https://clarkrorschpublication.com/index.html
“ there is a small decrease in the LWIR flux at TOA within the spectral range of the CO2 band emission.”
Measurements also show an increase in the slightly lower spectral range…
… exactly as Tom Shula’s explanations would predict.
The water vapor change is also predicted by the Gray/Schwartz 2010 paper to the AMS. The Marcos/Ott work has major problems IMO.
https://tropical.atmos.colostate.edu/Includes/Documents/Publications/gray2010_ams.pdf
From post:” There can be no climate sensitivity to CO2 or other greenhouse gases. Nor can there be a water vapor feedback.”
Fact check TRUE.
This is exactly what Planck described in his Theory of Heat Radiation. He described it as compensation. One needs to examine time-based gradients to understand it. The earth doesn’t “warm” (a rise in temperature), it stays at a warmer temperature longer but is still “cooling”. As you say, the rate of cooling has a slower value, but the gradient doesn’t reverse to warming. As an example only, the cooling rate changes from -2°/hour to -1.5°/hour, but it never turns positive which implies warming.
Since the cooling gradient is smaller more radiation is sent upwards for a longer time. Yet, as you say, the effect is small enough to be essentially unmeasurable at this time.
Regarding Clark’s comments about Manabe’s model, here’s how the latest iteration compares to observations:
The search for the real ECS seems more like prophecy than hard science. Is there any way it could be definitively proven to be a single number? There is no way to test it, right? I speculated on this site once that maybe it’s not a single number but that it’s variable based on countless other variables. So, it would in that case be a formula, not a number. OK, I’m no scientist- just pretending that I can think at this level. 🙂
Most of climate science is nothing more than curve fitting to “average” values instead of actually defining real-world functional relationships. Think about it. Climate science refuses to convert to using enthalpy instead of temperature. This means that for climate science the temperatures in Las Vegas and Miami have the same same impact on the “climate” at each location – when in the real world the climates are vastly different. I have yet to see any climate science attempt to define a functional relationship between soil temperature and air temperature at the 6′ height. Yet soil temperature is vastly different between measurement locations because of different soil makeup and soil temperature has a *large* impact on the climate at any random location. To climate science all soil is the same everywhere on the globe.
It doesn’t matter how fancy you get with statistical descriptors, if the data being analyzed is garbage then the statistical analysis will be garbage also.
In other words, it’s an extremely complicated topic and sure ain’t settled. What I really hate is the condescension by the climate cult’s “believers”.
I was perusing my bibliography of climate information and ran across this post in an article that Willis had written back in 2012. The first link is to the article itself. The second link is a post that E. M. Smith wrote. We no longer see posts from him, a loss.
The last few lines of his post are pertinent.
https://wattsupwiththat.com/2012/01/26/decimals-of-precision-trenberths-missing-heat/
https://wattsupwiththat.com/2012/01/26/decimals-of-precision-trenberths-missing-heat/comment-page-3/#comment-757109
As always, you cannot narrow down climate sensitivity to CO2 because in the climate system it remains uncertain what is cause and effect, signal vs noise.
The ultimate answer is: nobody knows. You cannot calculate yr way out of this as there is no zero line of departure where you can change one variable. You can of course make an educated guess. That’s fine. But you cannot claim scientific proof. Ever.
But I think we do know. There is sufficient evidence in the climate record to refute CO2 as the “driver” of anything.
All of this EMPIRICAL EVIDENCE says “ECS” = ZERO. Unless you are devoid of logic and reason.
Lewis did not significantly challenge the methodology of Sherwood et al.’s 2020 paper, although his latest comments allude to potential flaws in the models. He merely identified and corrected some of their most egregious ‘errors’.
Now a less trusting person might conclude that there were no actual errors in play, only the attempt to juice the numbers with wrong methods that just so happened to result in higher ECS estimates but can be plausibly attributed to ‘honest errors’ if detected.
The way I evaluate Lewis 22 is that it likely represents an exaggerated upper limit on ECS that results from swallowing whole most of the alarmist assumptions built into S20 and only calling them on their worst fouls.
So, if Lewis22 is an upper limit and ECS is around 2 at most, then the relevant question would be whether any harm would come from ~4° of warming after quadrupling CO2 from pre-industrial levels. That’s to say, finishing the first doubling from 280ppm to 560ppm, where we’re only at half-time around 425ppm, and then doing another full doubling to 1120ppm.
If the past decade represents a business-as-usual rate of CO2 concentration increase, that is about 2.5ppm/year. To reach 1120ppm from 425ppm, that’s 695ppm of future increase.
At 2.5ppm/year that would take 278 years, completing the quadrupling in the year 2303. In theory then, we have nearly 18 decades to adjust to 4° of total warming relative to 1850 temperatures. Which is to say about 2.5° warmer than present. (0.14° per decade).
We’re supposed to believe that we must stop all net CO2 increase within the next two or three decades. But actually if we wait 50 years to start reducing CO2 emissions, we still won’t even have finished the first doubling.
Just basic common sense shows that THERE IS NO CLIMATE EMERGENCY!
“Surprisingly, although Forest (with his joint author) corrected those errors in a later study using the same methodology, he never corrected the same errors in his AR4 study – which has been cited nearly fifty times since my 2013 paper showed it was erroneous.”
Climate sensitivity is a complex subject. Errors in its calculation are to be expected.
However, it would also be expected that most errors would cancel out. It’s as likely that an error will underestimate the climate sensitivity as to overestimate it.
This would lead to a wider uncertainty in the calculation of ECS. The opposite of what was trying to be achieved.
S20 manages to narrow the uncertainty in the calculation of ECS.
Very useful as the lack of progress in climate science is a real crisis for the field.
But, in narrowing the uncertainty in the calculation of ECS, they haven’t preserved the balance of errors.
More errors that overestimate ECS survive than underestimate it. Do any of the ‘errors’ underestimate ECS?
It’s hard to think of any methodology that would do that, from an evidence based approach.
Can anyone explain it?
“However, it would also be expected that most errors would cancel out.”
This is an assumption that climate science *always* makes and it is totally wrong. I simply don’t know how this meme became so pervasive.
“It’s as likely that an error will underestimate the climate sensitivity as to overestimate it.”
You simply can’t know that such a relationship exists unless you already know the true value. It’s pretty apparent that no one knows the true value.
“But, in narrowing the uncertainty in the calculation of ECS, they haven’t preserved the balance of errors.”
Exactly. But have they *really* narrowed the uncertainty in the calculation of ECS? It would seem that S20 is very much based on CGM modeling – and the uncertainty of the outputs of the CGM models is very high. That doesn’t seem to get propagated into the uncertainty of ECS.
“It’s hard to think of any methodology that would do that, from an evidence based approach.”
I give you climate CGM models that consistently overestimate temperature projections. Methodology based on CGM outputs as “evidence” have an in-built uncertainty that is probably also reflected in ECS calculations.
Did anybody read this? The figures are flipped.
Meh. Another “model” circle jerk. Using “models” that ASSUME atmospheric CO2 has a central role in “driving” the Earth’s temperature.
GLACIATION WITH TEN TIMES TODAY’S ATMOSPHERIC CO2. Plug THAT into the stupid “models.”
ECS?! Zero. That’s what actual scientists should be saying UNLESS they insert the all-important caveat “all other things held equal.” Which they have never been, are not, and will never be.
And given that caveat AND no evidence of Earth’s climate being the wild roller coaster ride that would result if feedbacks were positive, amplifying feedbacks, means that no “crisis” exists outside of the fantasy world of the stupid “models.”
It is astounding that anyone thinks an equilibrium sensitivity can be calculated for an energy system (or system of systems) that never achieves equilibrium.